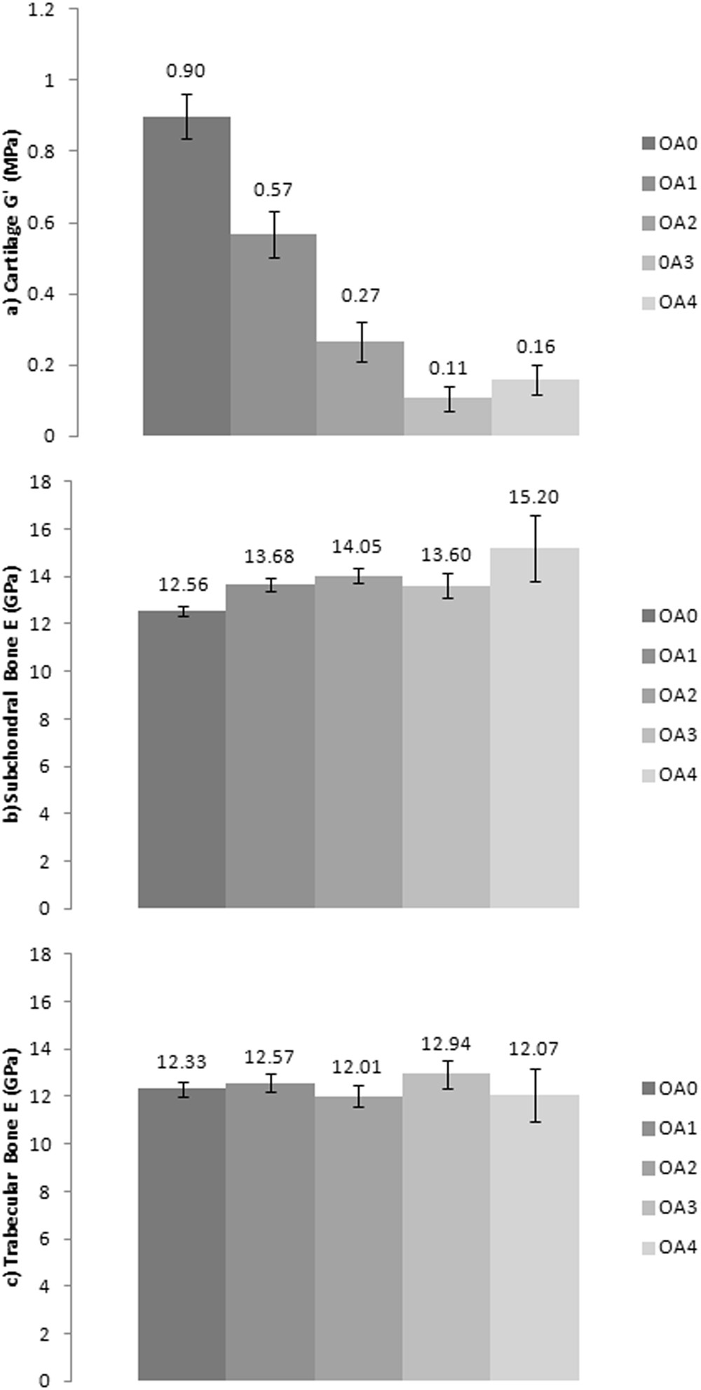
Figure 2

The relationship between (a) Cartilage shear storage modulus (G′) (MPa), (b) Subchondral bone elastic modulus (E) (GPa), and (c) Trabecular bone elastic modulus (E) (GPa) to osteoarthritis International Cartilage Repair Society (ICRS) grade (0–4). Error bars represent 95% confidence interval and figures represent standard deviation (SD).