Figure 2
From: Systemic and sex-biased regulation of OBP expression under semiochemical stimuli

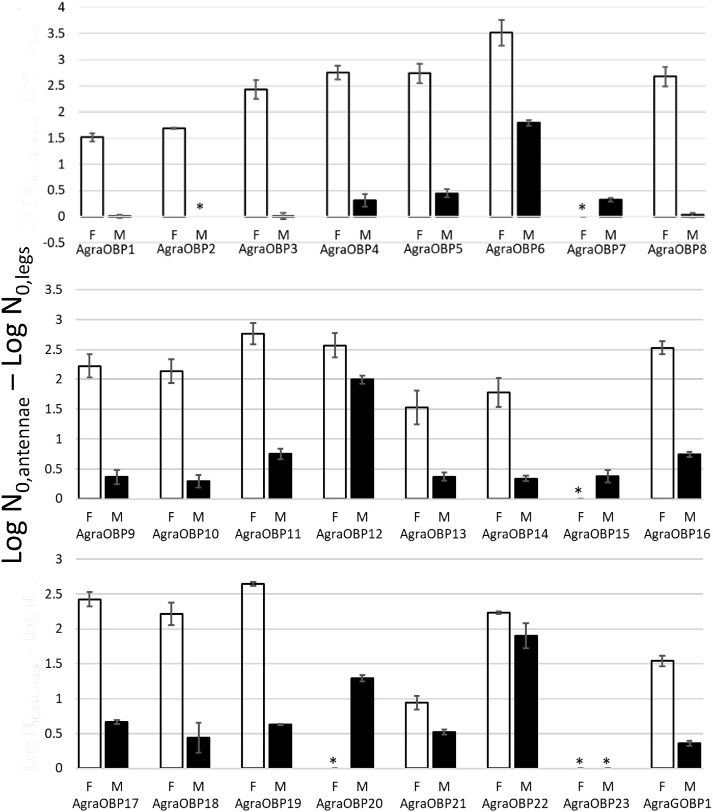
Expression of AgraOBP transcripts in antennae compared to legs in female (F) and male (M) control boll weevils. Expression is the fold-increase in log10 relative fluorescence units (N0) obtained by qPCR, with standard error bars. * are effects where there was no expression in legs or both antennae and legs.