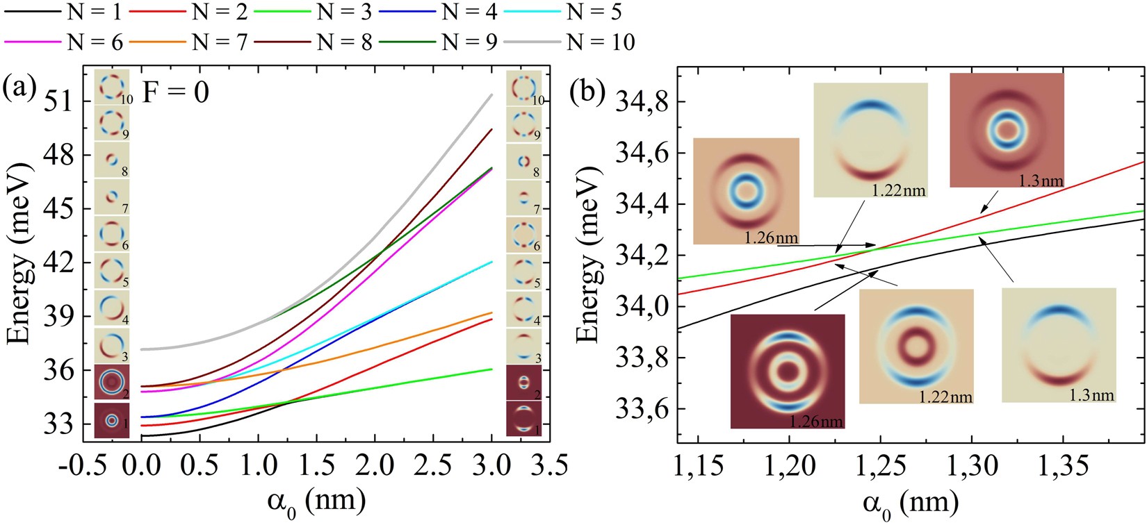
Figure 2
From: Modeling of anisotropic properties of double quantum rings by the terahertz laser field

(a) laser-dressed energy levels dependence on α0 in the absence of electric field, where the insets are the wave functions for the considered smallest and biggest values of α0. (b) crossing and anti-crossing points between the first three levels.