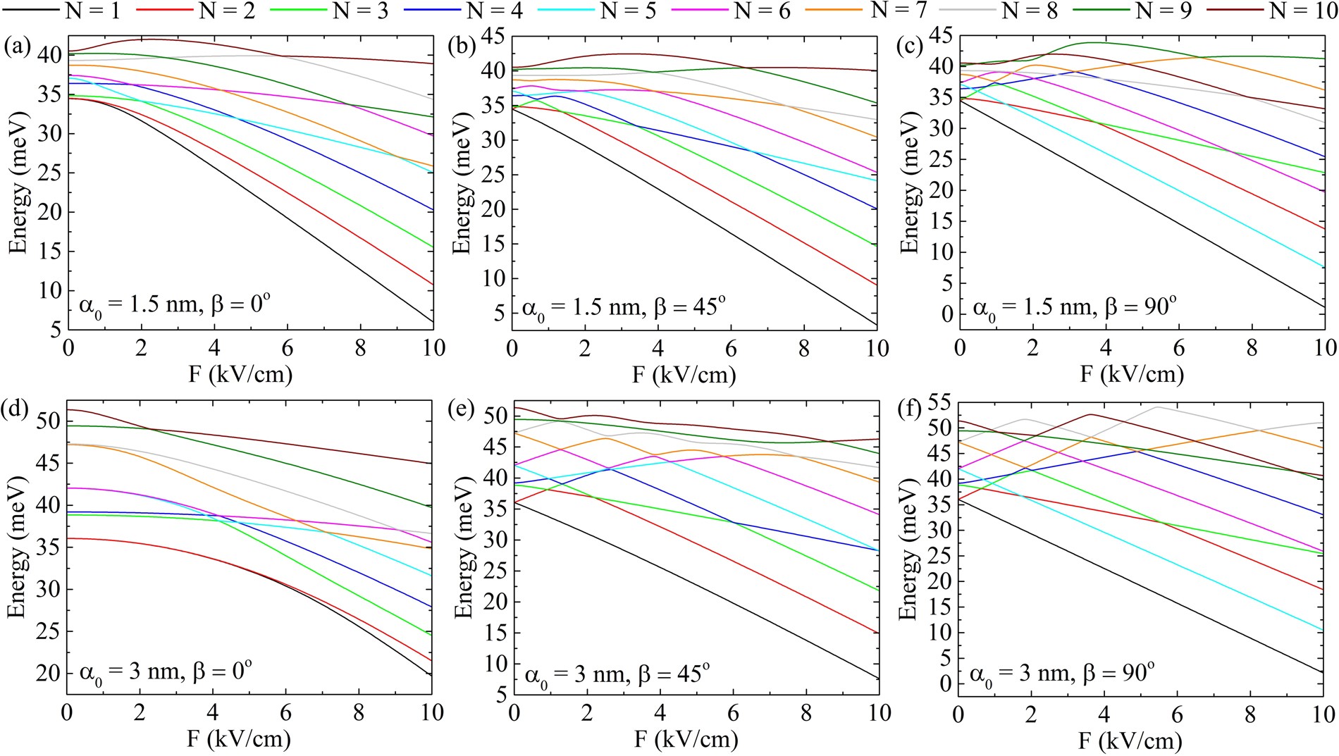
Figure 6
From: Modeling of anisotropic properties of double quantum rings by the terahertz laser field

Stark effect on laser-dressed energy levels. The following pairs of α0 and β parameters are considered: (a) α0 = 1.5 nm, β = 0°; (b) α0 = 1.5 nm, β = 45°; (c) α0 = 1.5 nm, β = 90°; (d) α0 = 3 nm, β = 0°; (e) α0 = 3 nm, β = 45° and (f) α0 = 3 nm, β = 90°.