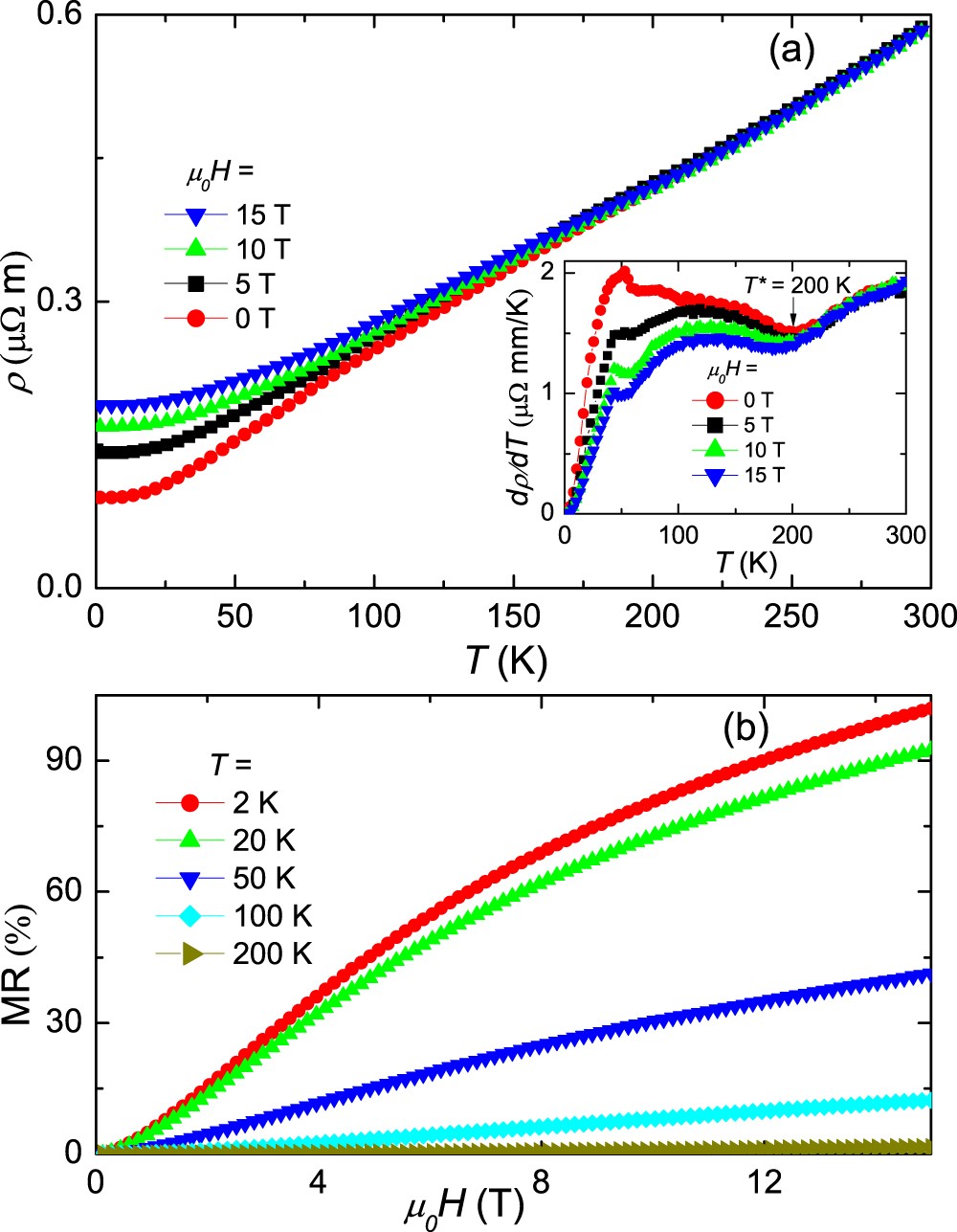
Figure 2

Transport properties of NbTe4 at ambient pressure. (a) Plots of resistivity against temperature under μ0H = 0, 5, 10, and 15 T. The current is along the c-axis, and the field is along the b-axis. Inset: Plots of dρ/dT versus temperature. (b) Field dependence of \({\rm{MR}}=[\rho (H)-\rho \mathrm{(0)]/}\rho \mathrm{(0)}\) under various temperatures.