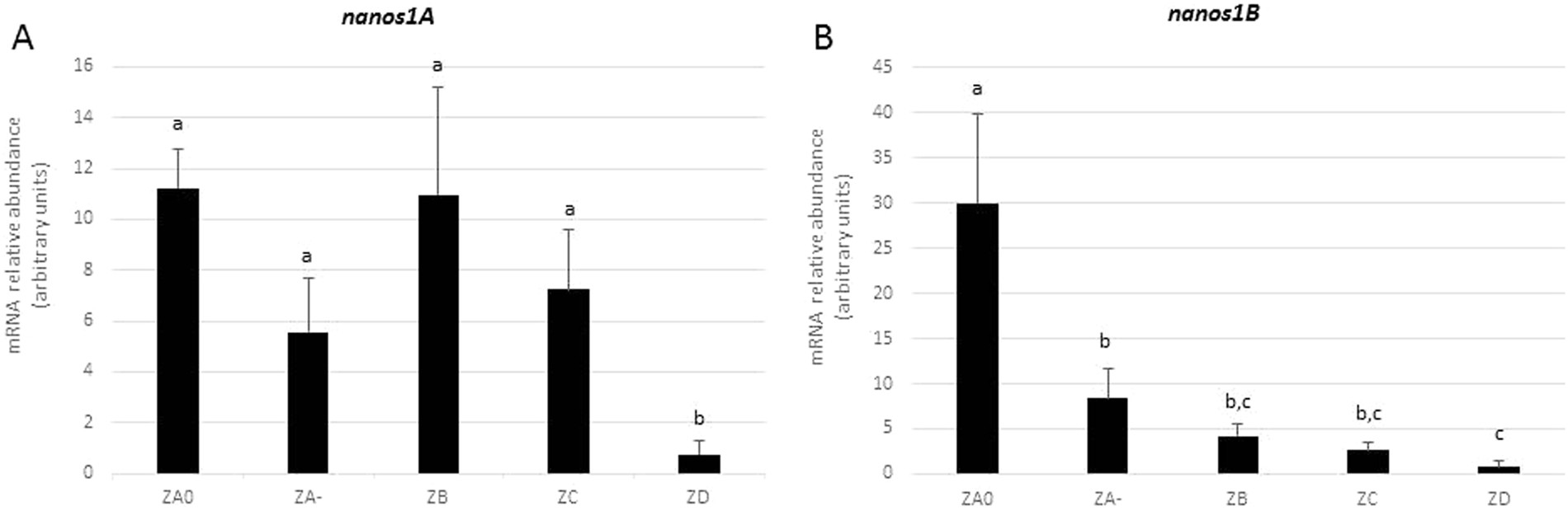
Figure 4

Specific expression patterns of nanos1A and nanos1B in dogfish testicular zones. The relative abundance of nanos1A and nanos1B mRNAs in the five testicular zones was measured by RT-PCR and normalized with 5S rRNA. Dogfish polarized testis was dissected in five zones from its dorsal to its ventral side: ZA0, germinative zone containing SSCs; ZA-, cysts with spermatogonia; ZB, meiotic zone; ZC, cysts with round-spermatids; and ZD, cysts with elongated spermatids and zone of cyst resorption. The nanos1A transcript was detected in all zones except in zone D where it was almost undetectable. In contrast, nanos1B showed a marked progressive decrease of its expression after the germinative zone, ZA0. Data are presented as mean + SD (N = 4). Differences in gene expression were evaluated using one-way analysis of variance followed up with Games-Howell test. Testicular zones sharing no letter in common show significantly different expression levels.