Figure 5
From: Meteorological Controls on Local and Regional Volcanic Ash Dispersal

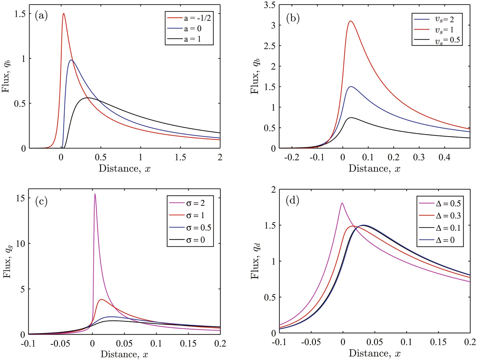
Ash deposition fluxes from an idealised advection-diffusion calculation. Results have been non-dimensionalised and show depositional flux at ground level qs versus distance for different source and wind conditions. Depositional flux for various: (a) wind profiles of the form u(z)/U = a + (1 − a)z/H), where U is wind speed at the source height H and a = −1/2 (a trade wind reversal profile); a = 0 (uniform shear); a = 1 (uniform flow); (b) settling velocities vs; (c) grain size distributions, where σ is the standard deviations in φ units (the mean φ is 5); and (d) source thicknesses Δ = Zs/H, where Zs is the source layer depth. Default settings use the trade wind reversal profile a = −1/2, a settling velocity vs = VsH/κ = 1 (where Vs is the particle settling velocity and κ is the turbulent diffusivity), a standard deviation of grain size σ = 2, and a source thickness of Zs/H = 0.