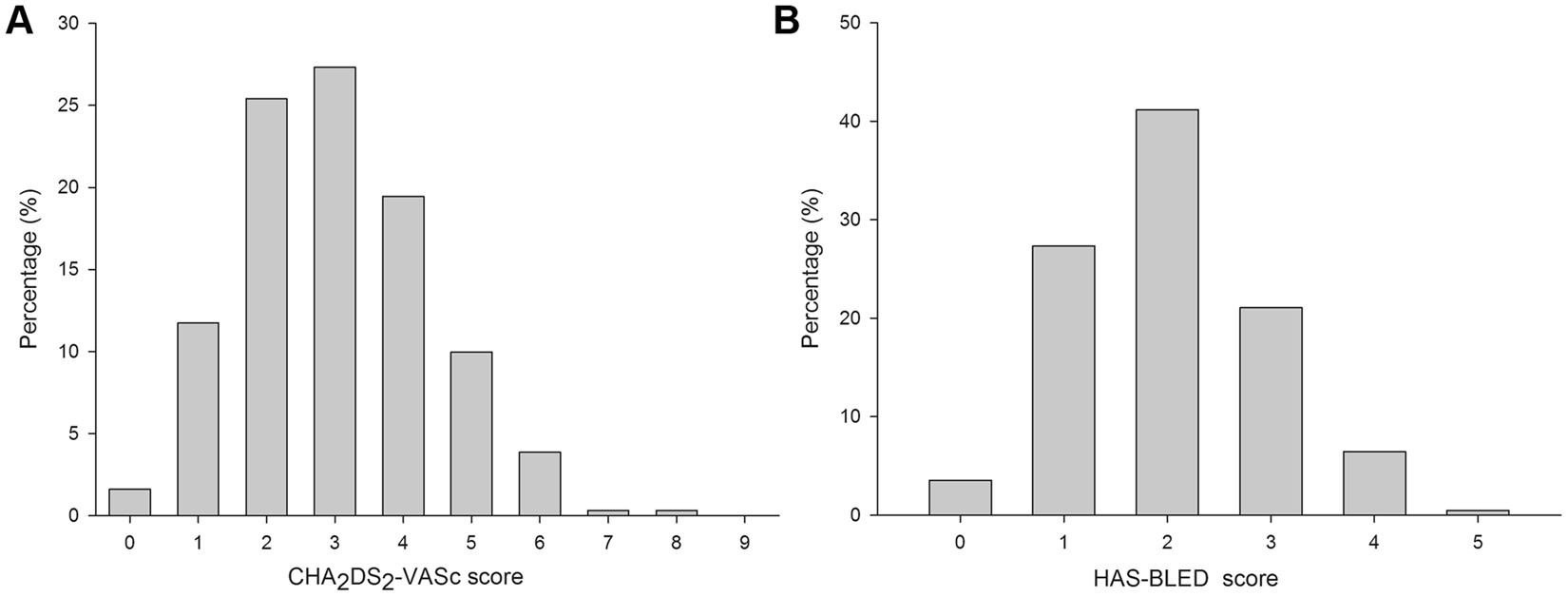
Figure 4

Risk stratification for stroke and assessment of bleeding risk associated with anticoagulation in rural atrial fibrillation (AF) patients. (A) CHA2DS2-VASc score in AF patients; (B) HAS-BLED score in AF patients.

Risk stratification for stroke and assessment of bleeding risk associated with anticoagulation in rural atrial fibrillation (AF) patients. (A) CHA2DS2-VASc score in AF patients; (B) HAS-BLED score in AF patients.