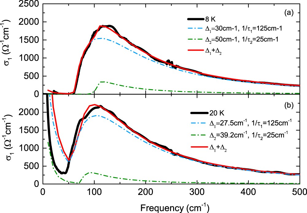
Figure 4

The optical conductivity at T = 8 (a) and 20 K (b) fitted to a generalized Mattis-Bardeen model29. The black solid line shows the superconducting optical conductivity after subtracting the Lorentz oscillator contribution at 30 K from the optical conductivity measured at 8 and 20 K. The blue and green dash-dotted lines show the optical conductivity determined for the smaller superconducting gap and larger gap using the Mattis-Bardeen model, respectively. The red solid line denotes the sum of the two fitted optical conductivities for the two gaps.