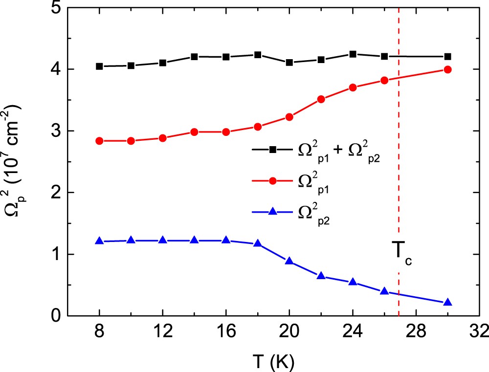
Figure 5

The Drude weight (\({({{\rm{\Omega }}}_{p1}^{N})}^{2}\,\)and \({({{\rm{\Omega }}}_{p2}^{N})}^{2}\)) for the broad and narrow bands in the superconducting state, respectively, which is the fitting parameter used in a generalized Mattis-Bardeen model29.