Figure 1
From: Impact of rural-urban environment on metabolic profile and response to a 5-day high-fat diet

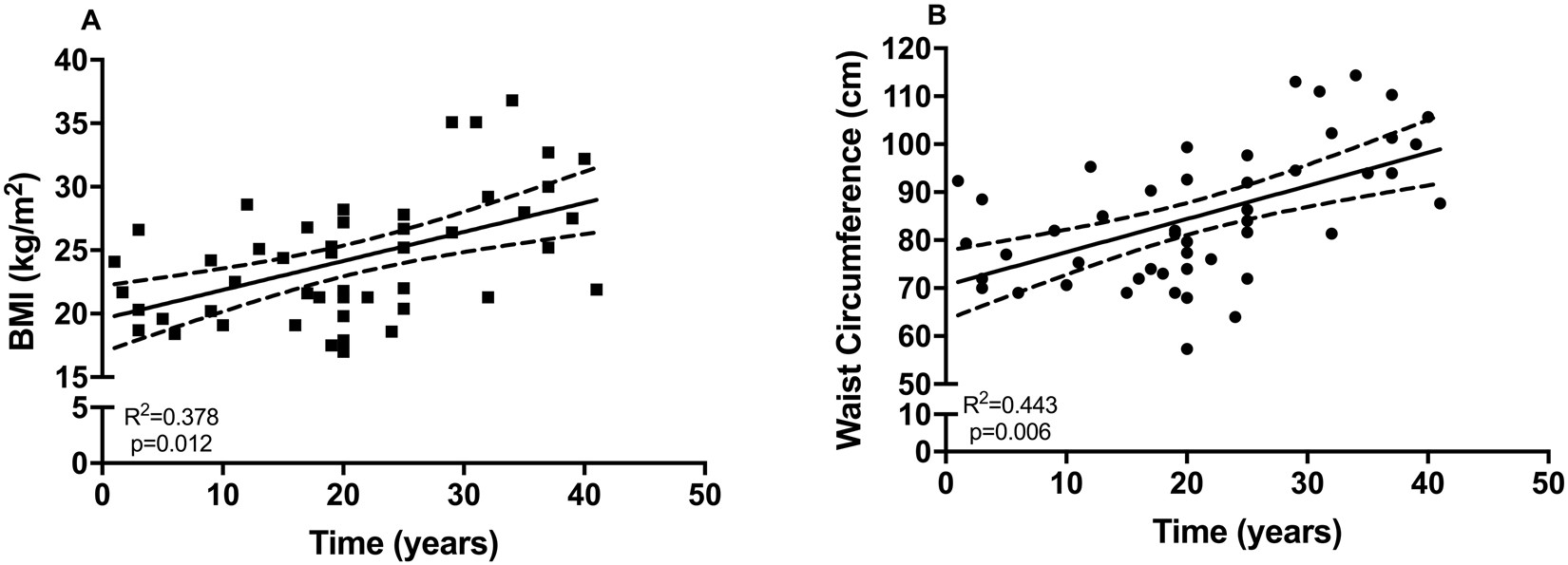
The association between length of stay in urban area with adiposity. The association between length of time in urban area with (A) body mass index (BMI) and (B) waist circumference are presented in scatter plot graphs (n = 49), and analysed using age-adjusted linear regression. The dotted line represents 95% confidence intervals. Each year increase of a time spent in urban area was associated with a significant increase in both (a) BMI [0.152 (0.036–0.269) kg/m2, p = 0.012] and (b) Waist Circumference [0.449 (0.135–0.762) cm, p = 0.006].