Figure 3
From: Electrochemical detection of NGF using a reduced graphene oxide- titanium nitride nanocomposite

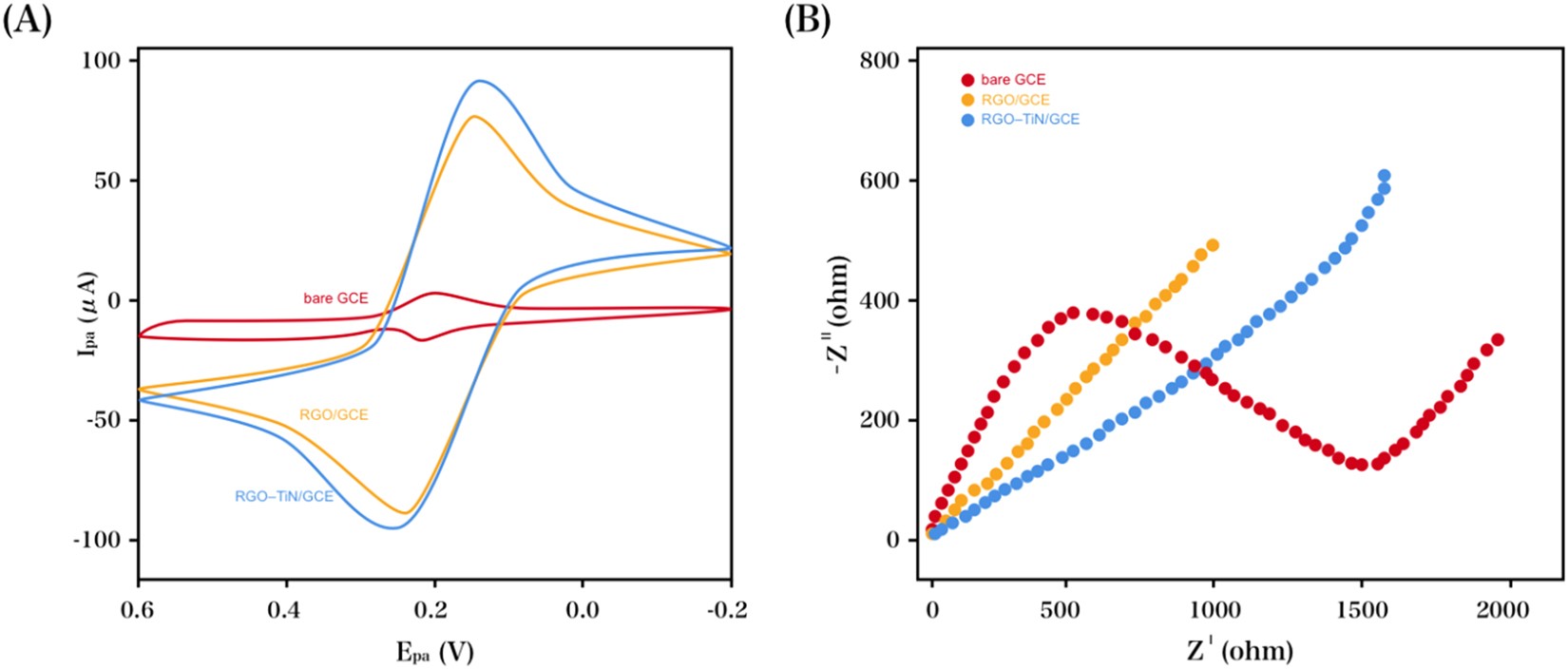
(A) CVs and (B) Nyquist plots of the original GCE, RGO/GCE and RGO–TiN/GCE in 5 mM Fe(CN)63−/4− (1:1) solution containing KCl (0.1 M).
From: Electrochemical detection of NGF using a reduced graphene oxide- titanium nitride nanocomposite

(A) CVs and (B) Nyquist plots of the original GCE, RGO/GCE and RGO–TiN/GCE in 5 mM Fe(CN)63−/4− (1:1) solution containing KCl (0.1 M).