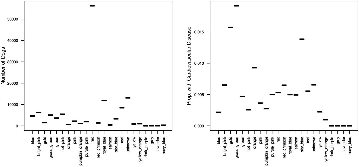
Figure 2
From: Cardiovascular Disease Risk Varies by Birth Month in Canines

Prevalence of Breed Clade in the Public OFA Dataset (left-graph) and Proportion with Cardiovascular Disease per Breed Clade (right-graph). Some breeds (e.g., retrievers/pointers) were very common (left-graph red clade) while having only moderate levels of cardiovascular disease risk (right-graph red clade). While other clades (e.g., grass-green clade) had a high-risk of cardiovascular disease (right graph).