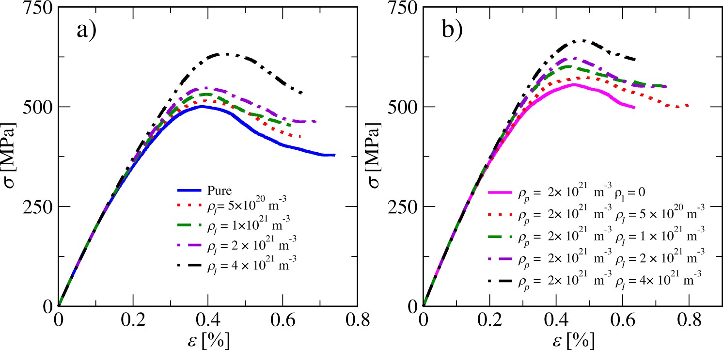
Figure 6
From: Effects of precipitates and dislocation loops on the yield stress of irradiated iron

(a) Stress-strain curves of systems with only loops. Loop radius is r l  = 5 nm (b) Stress-strain curves with a fixed precipitate density and varying loop densities. Precipitate size parameter is R p  = 5 nm and the loop radius is r l  = 5 nm.