Figure 2
From: Dual extraction of mRNA and lipids from a single biological sample

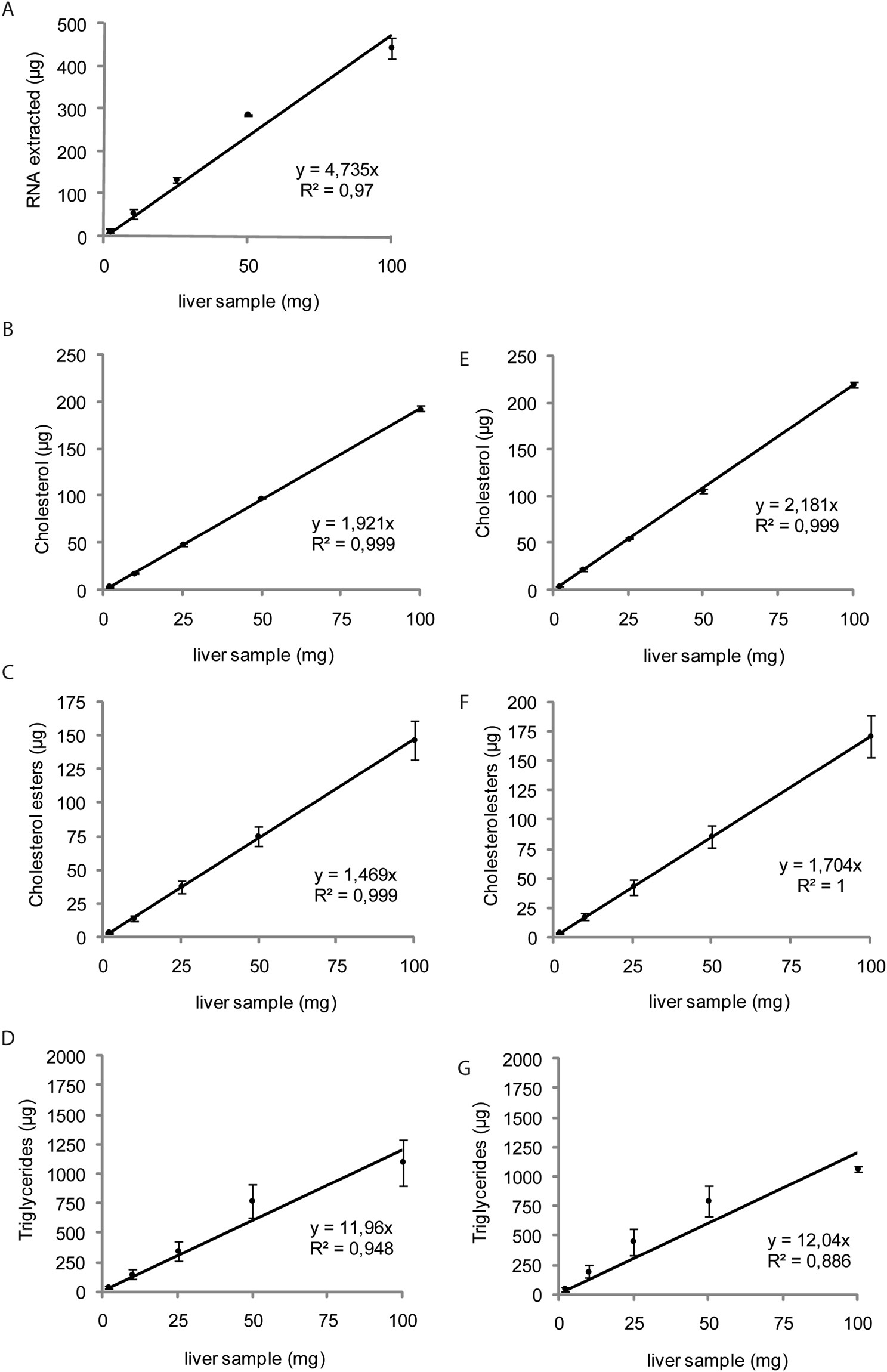
Trizol can be used to extract total lipids from mouse liver samples over a wide range of weights. (A) Commercially available Trizol was used to extract mRNA and (B) cholesterol, (C) cholesterol esters, and (D) triglycerides from mouse liver samples of 1 to 100 mg. (E) Bligh & Dyer was also used for cholesterol, (F) cholesterol ester, and (G) triglyceride extraction from mouse liver samples of 1 to 100 mg. RNAs were analyzed by qPCR and lipids by gas chromatography. Data are presented as means ± s.e.m. (n = 4 samples per group).