Figure 1
From: The role of cations in the interactions between anionic N-heterocycles and SO2

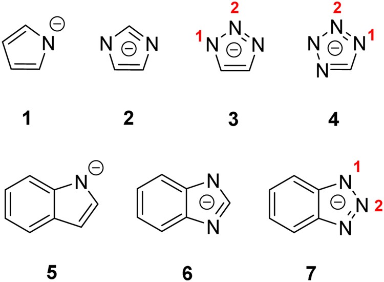
NHCs studied in this work. Multiple distinct SO2 interaction positions are labelled by numbers in red.
From: The role of cations in the interactions between anionic N-heterocycles and SO2

NHCs studied in this work. Multiple distinct SO2 interaction positions are labelled by numbers in red.