Figure 3
From: Unbiased estimation of an optical loss at the ultimate quantum limit with twin-beams

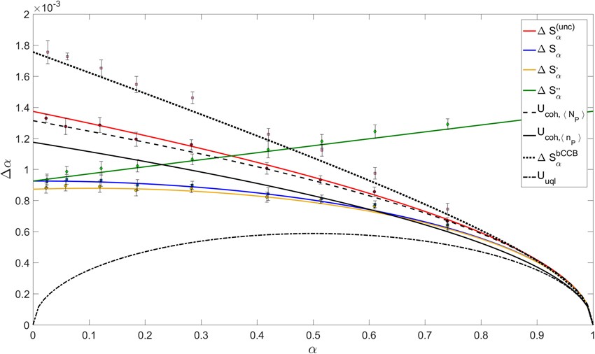
Uncertainty on α in function of the mean value of α. Four different estimators are considered. Solid lines are the theoretical curves, dashed and dotted lines are the limits corresponding to significant theoretical limits (see text for details), the markers are the experimental data. In this configuration measured efficiencies are η P = η R = 0.76 and \(\langle {N}_{P}\rangle \sim 50\cdot {10}^{4}\).