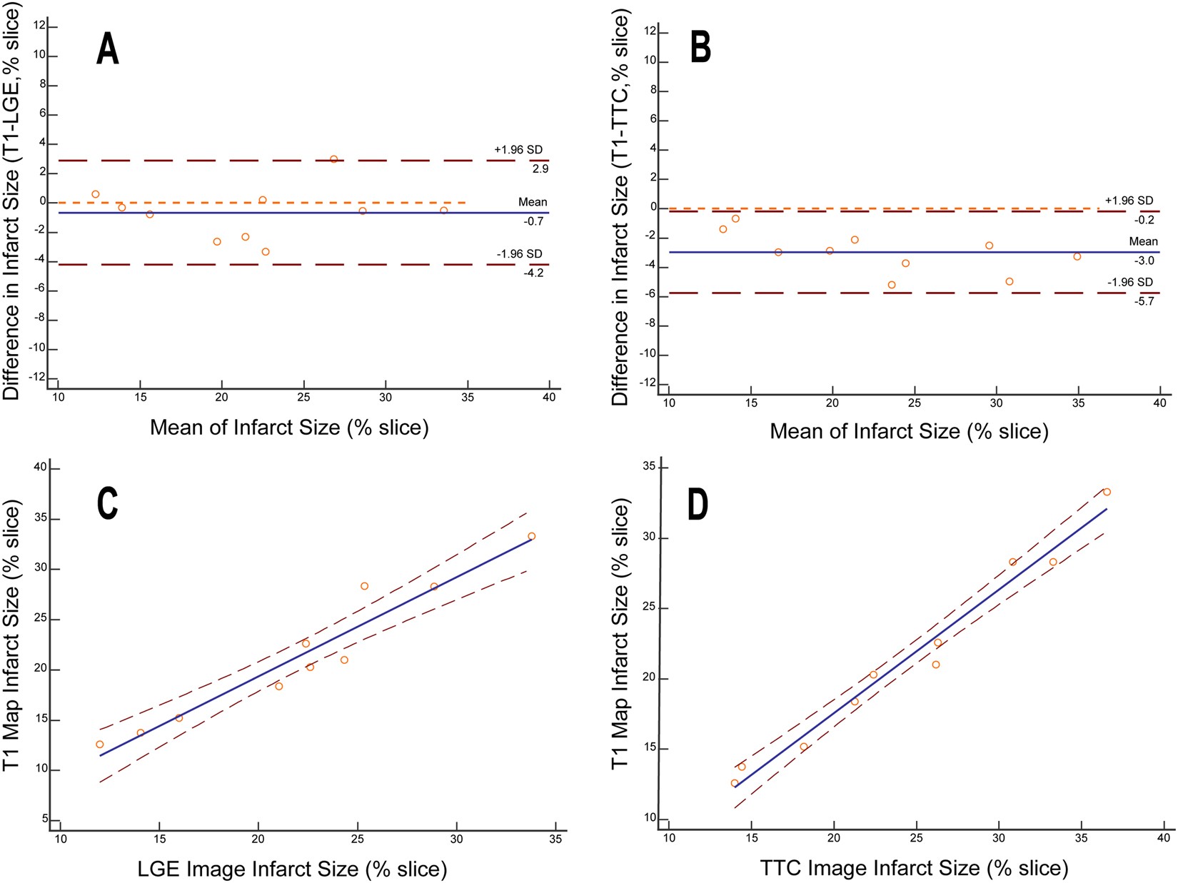
Figure 3

Infarct size assessed by T1 mapping, LGE imaging and TTC staining. Legend: Bland-Altman analysis shows good agreement in the measurement of infarct size between the T1 maps and LGE images (A) as well as between the T1 maps and TTC staining images (B). The blue line indicates the mean of infarct size. The dashed red line indicates 95% CI. There is good correlation between the LGE images and T1 maps, y = −0.41% + 1.00x, R2 = 0.93, p < 0.0001, (C) as well as between the TTC staining images and the T1 maps, y = −0.02% + 0.88x, R2 = 0.98, p < 0.0001, (D) in measuring the infarct size.