Figure 5
From: A paradox of epidemics between the state and parameter spaces

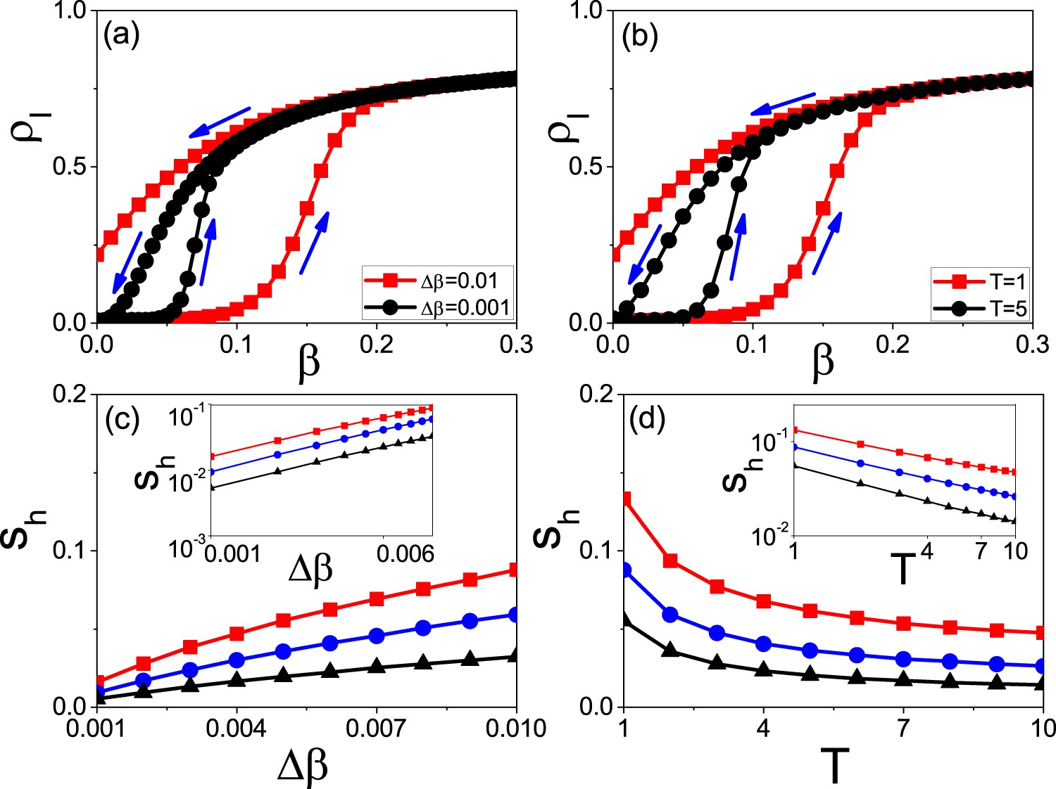
Hysteresis loops in parameter space where (a–d) corresponds to Fig. 2(a–d), respectively.
From: A paradox of epidemics between the state and parameter spaces

Hysteresis loops in parameter space where (a–d) corresponds to Fig. 2(a–d), respectively.