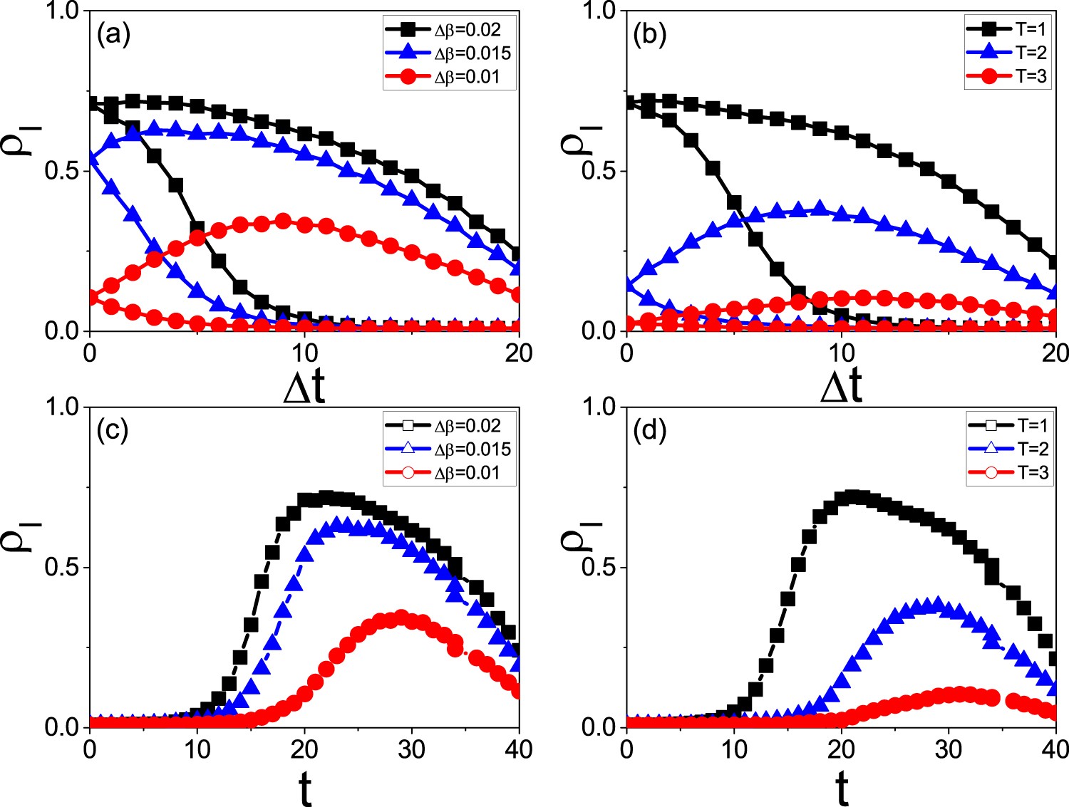
Figure 7
From: A paradox of epidemics between the state and parameter spaces

Case of fixed total evolutionary time as 2 × 20 (20 for the growing process and 20 for the recovering process) where all the parameters in (a) and (c) are the same as in Fig. 2(a) and that in (b) and (d) are the same as in Fig. 2(b). (a) and (b) represent the cases of SΔt for fixed Δβ and fixed T, respectively. (c) and (d) represent the cases of S t corresponding to (a) and (b), respectively.