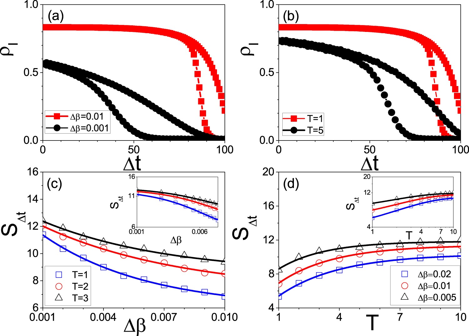
Figure 9
From: A paradox of epidemics between the state and parameter spaces

Hysteresis loops in state space for the case of SF network. (a) ρ I versus Δt for fixed T = 1 where the curves with “squares” and “circles” represent the cases of Δβ = 0.01 and 0.001, respectively. (b) ρ I versus Δt for fixed Δβ = 0.01 where the curves with “squares” and “circles” represent the cases of T = 1 and 5, respectively. (c) SΔt versus Δβ where the curves with “squares”, “circles” and “triangles” represent the cases of T = 1, 2 and 3, respectively. The inset shows the log-log plot. (d) SΔt versus T where the curves with “squares”, “circles” and “triangles” represent the cases of Δβ = 0.02, 0.01 and 0.005, respectively. The inset shows the log-log plot.