Figure 3
From: Circulating MiR-374a-5p is a potential modulator of the inflammatory process in obesity

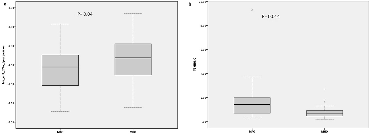
TG/HDL-C and serum miR-374a-5p levels by MHO status. (a) Serum miR-374a-5p levels by MHO status. (b) TG/HDL-C by MHO status.
From: Circulating MiR-374a-5p is a potential modulator of the inflammatory process in obesity

TG/HDL-C and serum miR-374a-5p levels by MHO status. (a) Serum miR-374a-5p levels by MHO status. (b) TG/HDL-C by MHO status.