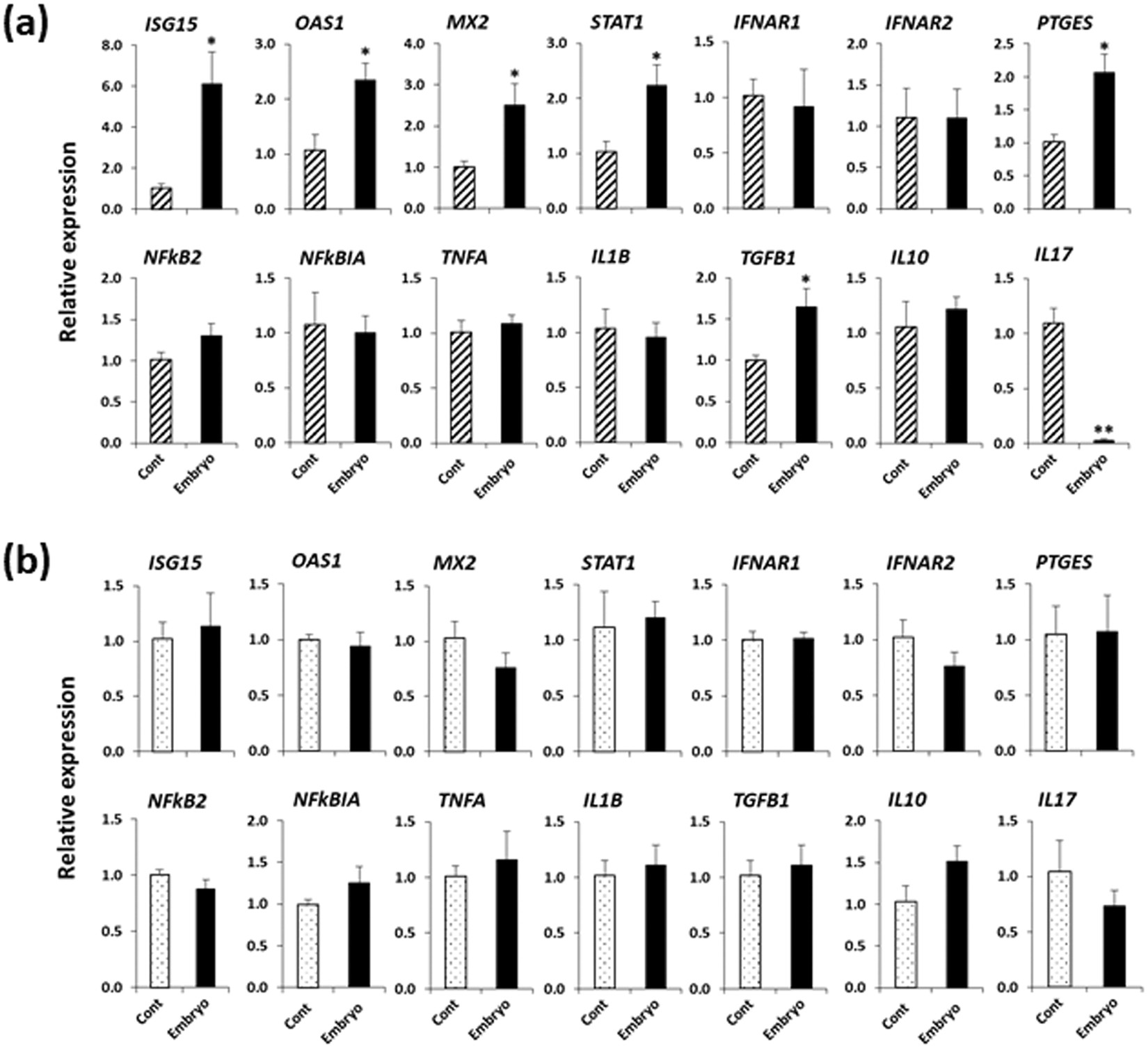
Figure 4

(a) Relative mRNA expression of candidate genes in PBMCs cultured in embryo-BOEC co-cultures medium or in BOEC cultures medium (cont). (b) Relative mRNA expression of candidate genes in PBMCs cultured in medium from embryos alone cultures or in culture medium without embryos (cont). Data are presented as mean ± SEM of six independent experiments performed in duplicate. *P < 0.05, **P < 0.01 denote significant difference.