Figure 2
From: Nanopore sequencing technology: a new route for the fast detection of unauthorized GMO

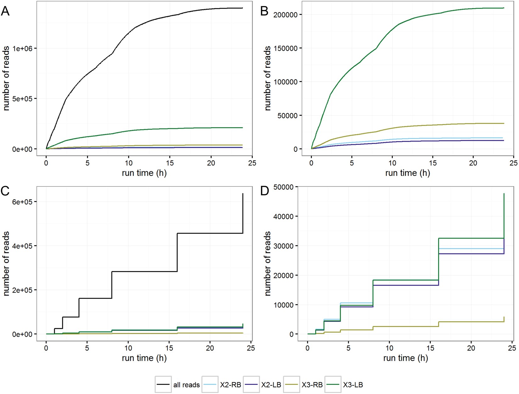
Acquisition profile of raw and processed reads generated by nanopore sequencing using the Oxford Nanopore MinION platform of a DNA library enriched via a DNA walking strategy applied to Bt rice. (A) Number of all raw reads, and raw reads mapping to the insertion sites on rice chromosomes II and III generated over time. (B) Focus on the number of raw reads mapping to the insertion sites on rice chromosomes II and III generated over time. (C) Number of all processed reads, and processed reads mapping to the insertion sites on rice chromosomes II and III generated over time. (D) Focus on the processed reads mapping to the insertion sites on rice chromosomes II and III generated over time. The ‘stepwise pattern’ of plots C and D compared to plots A and B is because for the former, only the total number of processed reads existing at 1, 2, 4, 8, 16 and 24 hours of sequencing were considered. All reads are represented by the black lines. The reads corresponding to the junctions between the rice chromosome II and the right border from the transgenic cassette (X2-RB) are indicated by the light-blue lines. The reads corresponding to the junctions between the rice chromosome II and the left border from the transgenic cassette (X2-LB) are indicated by the dark-blue lines. The reads corresponding to the junctions between the rice chromosome III and the right border from the transgenic cassette (X3-RB) are indicated by the yellow lines. The reads corresponding to the junctions between the rice chromosome III and the left border from the transgenic cassette (X3-LB) are indicated by the green lines.