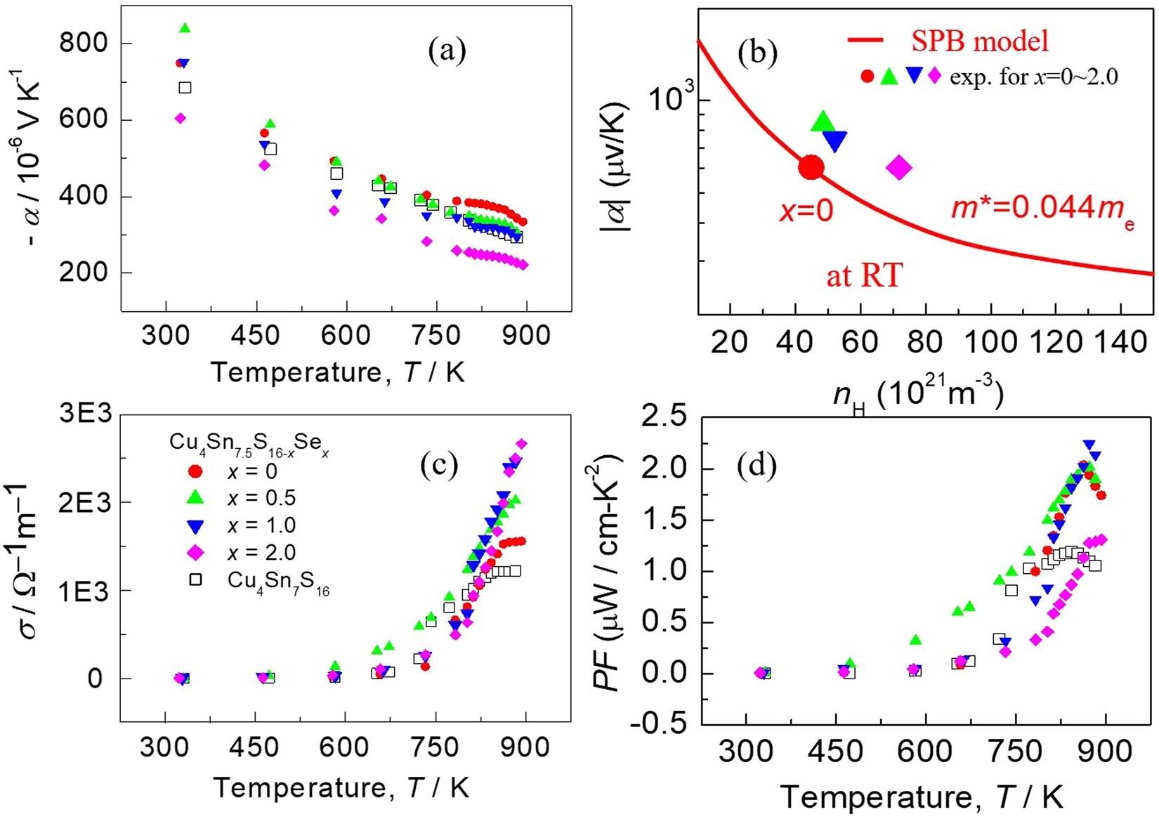
Figure 5

(a) Seebeck coefficients (α) of the compounds Cu4Sn7.5S16−xSe
x
(x = 0.5, 1.0 and 2.0), and those for x = 0 and Cu4Sn7S16 are presented for comparison; (b) Experimentally determined Seebeck coefficients (α) at the corresponding Hall carrier concentrations, labeled by
. The solid line represents the Pisarenko relation at RT; (c) Electrical conductivities (σ) as a function of temperature for different materials (x values); (d) Power factor PF, PF = α2σ, for different materials (x values).