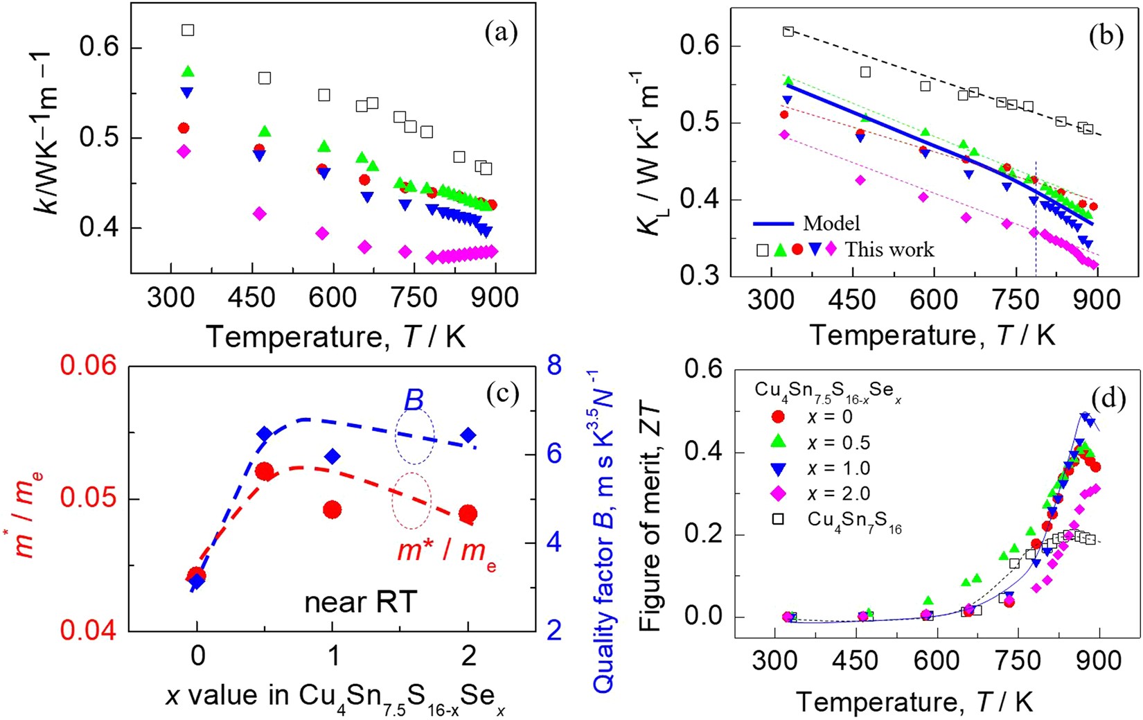
Figure 6

(a) Total thermal conductivities (κ) as a function of temperature for different materials (x values); (b) Lattice thermal conductivities as a function of temperature for different materials (x values). The solid blue line represents the fitting result using Callaway and Klemens model; (c) The values of m*/me and quality factor B as a function of Se content (x value); (d) TE Figure of merit (ZT) as a function of temperature for different materials (x values).