Figure 1
From: One-way edge modes in a photonic crystal of semiconductor at terahertz frequencies

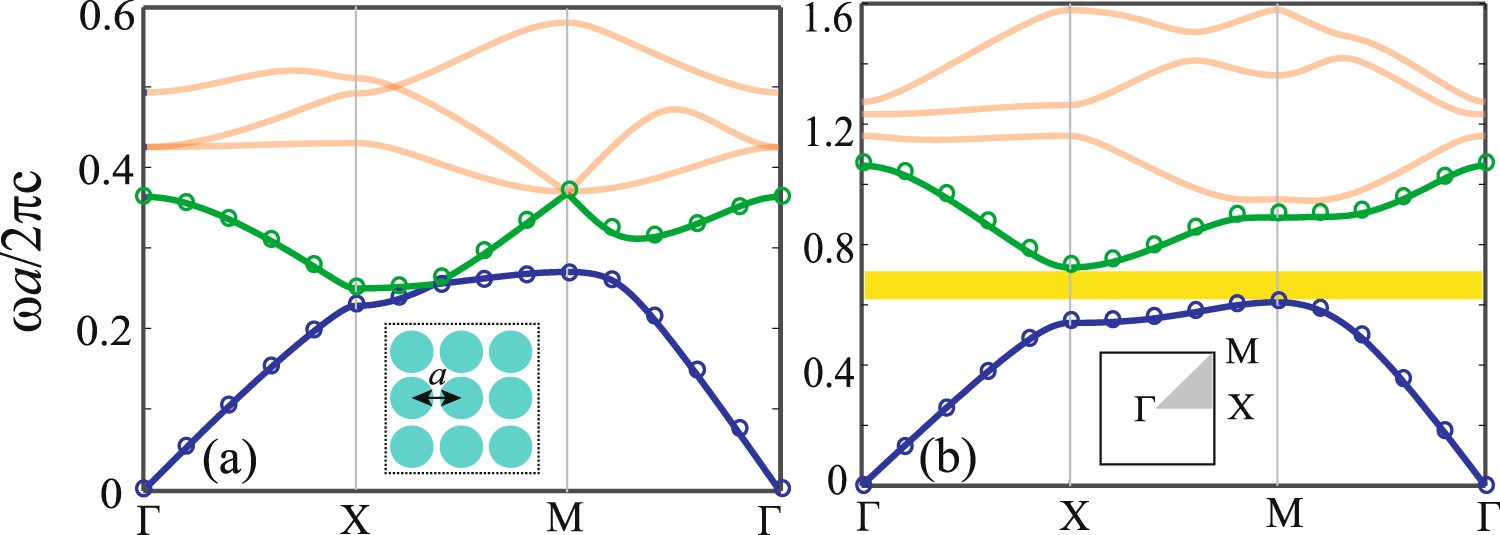
Band structures for the PhCs made of InSb (a) without and (b) with external magnetic field. The open circles represent the results (for the first two bands) calculated using the finite element method. The inset in (a) is a schematic of the PhC, and the inset in (b) is the first Brillouin zone. The radius of the InSb rods is r = 0.46a. The external magnetic field in (b) is B0 = 0.9 T (i.e., ω c = 0.9ω p ).