Figure 7
From: One-way edge modes in a photonic crystal of semiconductor at terahertz frequencies

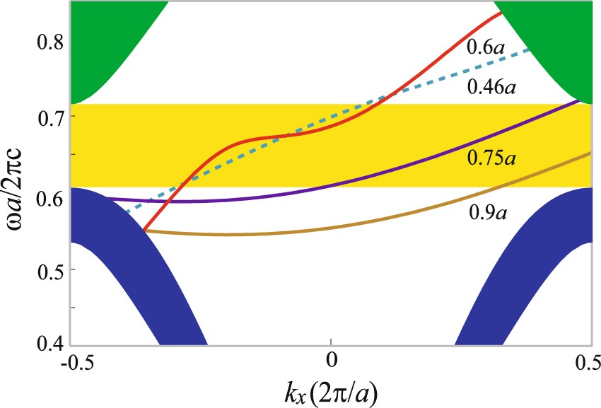
Dispersion curves of the edge mode for D = 0.46a, 0.6a, 0.75a, and 0.9a. The other parameters are the same as in Fig. 2.
From: One-way edge modes in a photonic crystal of semiconductor at terahertz frequencies

Dispersion curves of the edge mode for D = 0.46a, 0.6a, 0.75a, and 0.9a. The other parameters are the same as in Fig. 2.