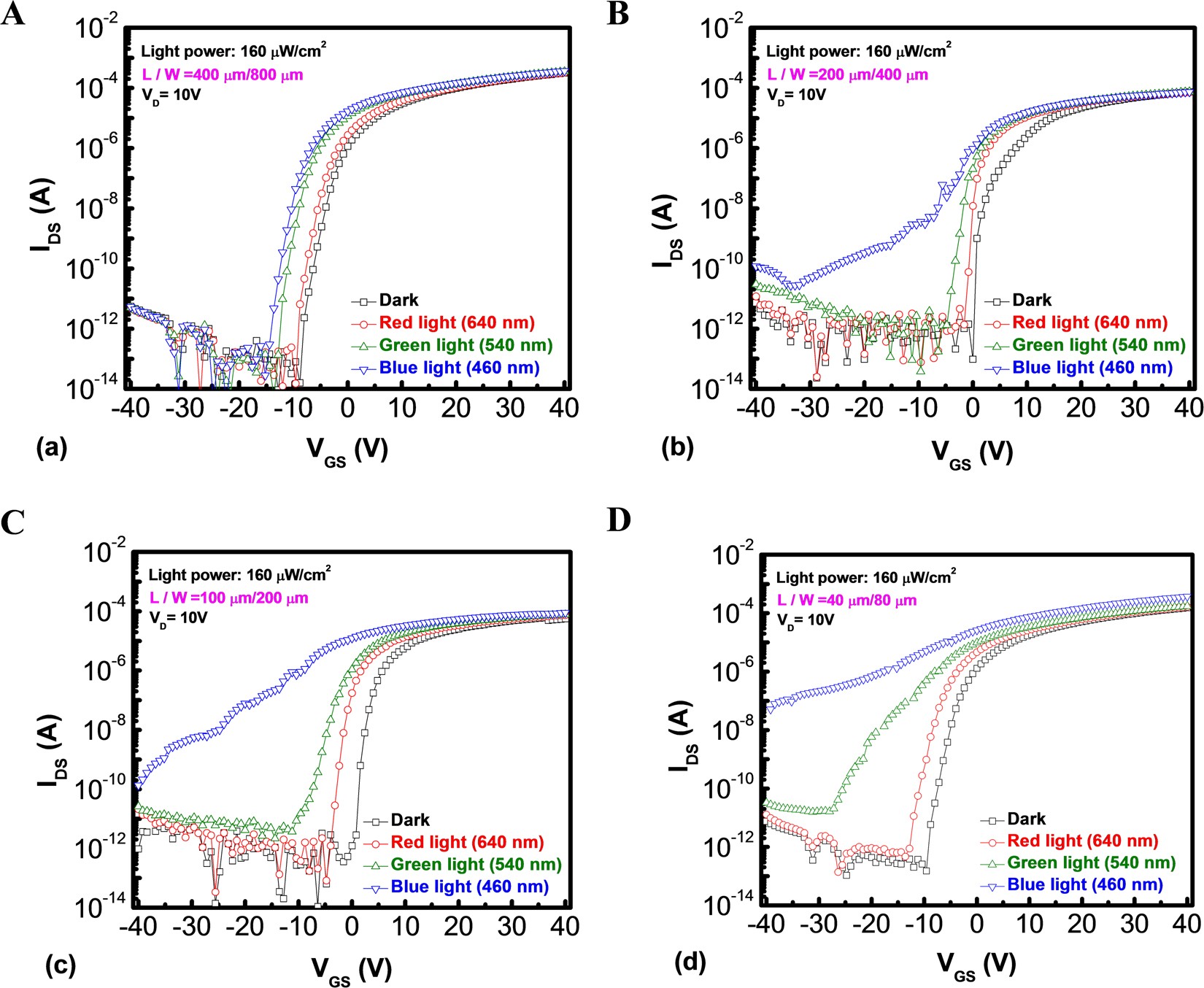
Figure 2

Transfer characteristics I DS -V GS curves of a-IZO sensor TFT with a fixed ratio of channel length to width are compared in Fig. 2: (A) 400 μm/800 μm, (B) 200 μm/400 μm, (C) 100 μm/200 μm, and (D) 40 μm/80 μm, respectively, under the light wavelength of 640 nm (red light), 540 nm (green light) and 460 nm (blue light) illumination at a fixed light power of 160 μW/cm2.