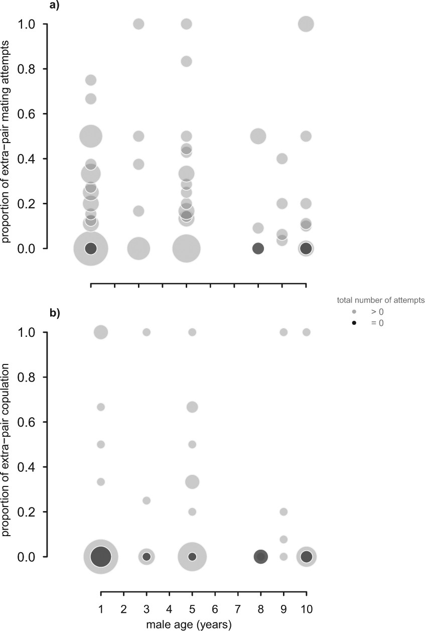
Figure 2
From: Male age is associated with extra-pair paternity, but not with extra-pair mating behaviour

Extra-pair mating behaviour in relation to age in male house sparrows. Neither the proportion of extra-pair mating attempts (a) (N = 73 males) nor the proportion of extra-pair copulations (b) (N = 74 males) was explained by the age of males. Circles represent individual data and are scaled according to the number of males of a certain age that were (light grey) or were not observed (dark grey) as sexually active.