Figure 5

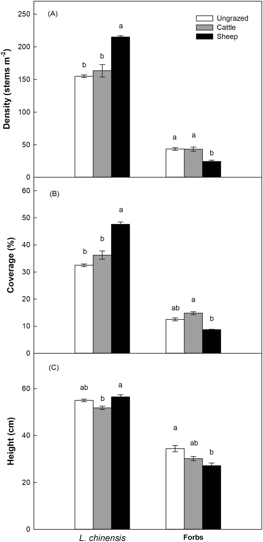
Leymus chinensis and forbs density (A), coverage (B), and height (C) were affected by different grazing treatments. Values represent mean ± SE. Different letters above the bars indicate significant differences. n = 4.

Leymus chinensis and forbs density (A), coverage (B), and height (C) were affected by different grazing treatments. Values represent mean ± SE. Different letters above the bars indicate significant differences. n = 4.