Figure 5

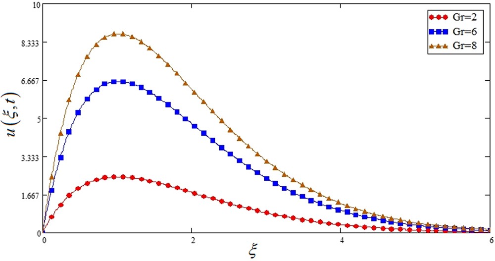
Effects of thermal Grashof number Gr on the velocity profile of Sodium alginate based Casson nano fluid when Pr = 0.7, Nr = 2, φ = 0.04 and t = 1.

Effects of thermal Grashof number Gr on the velocity profile of Sodium alginate based Casson nano fluid when Pr = 0.7, Nr = 2, φ = 0.04 and t = 1.