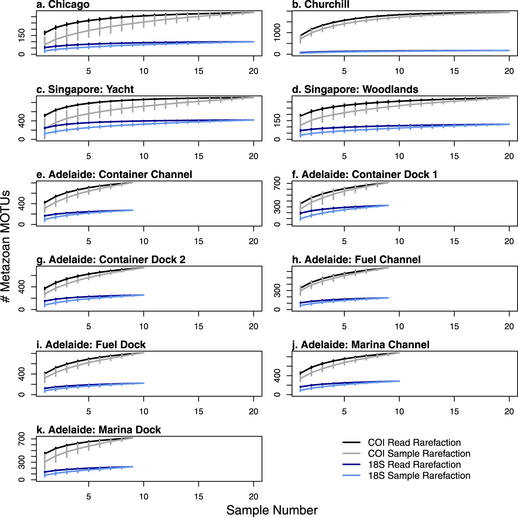
Figure 3

Rarified metMOTU accumulation curves by reads and samples for each site. Solid black line denotes COI read rarefaction, grey line denotes COI sample rarefaction, dark blue line denotes 18 S read rarefaction, and light blue line denotes 18 S sample rarefaction. Read curves were plotted on the x-axis using the average number of reads per sample. Errors bars represent 95% confidence intervals.