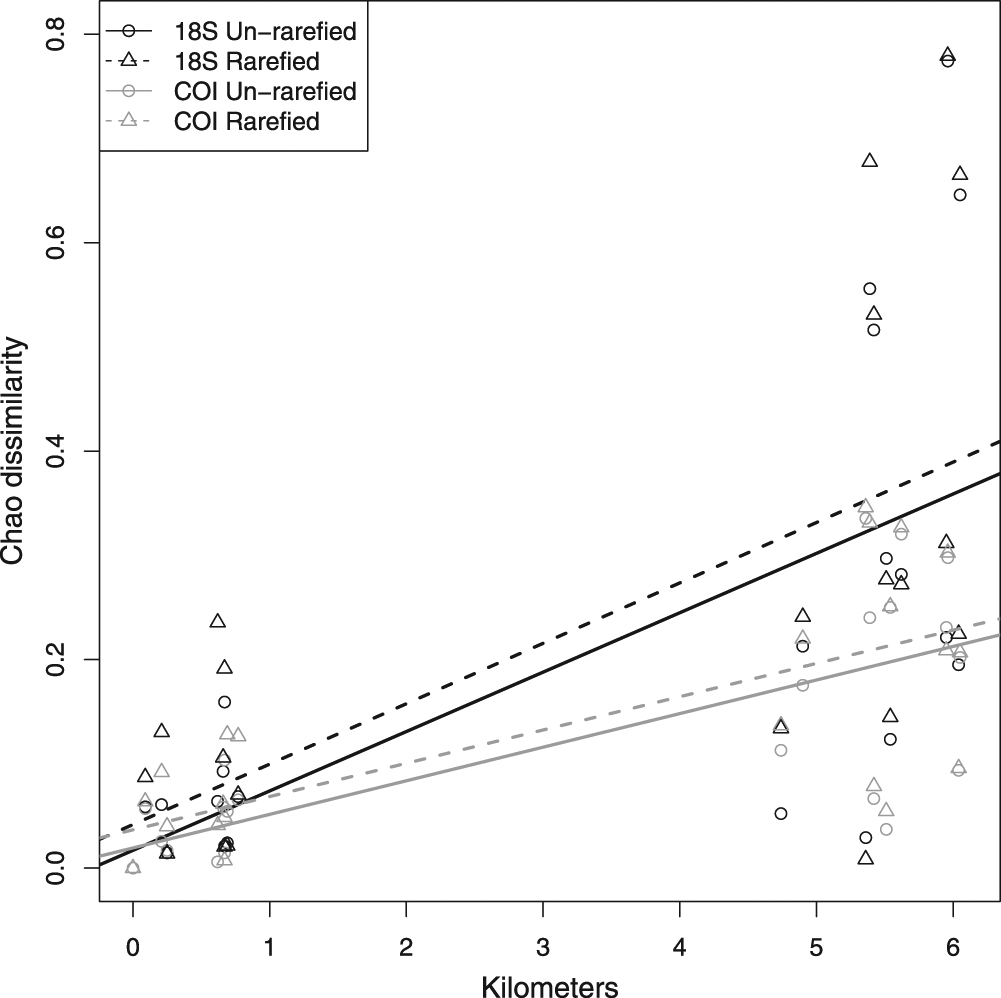
Figure 5

Between-site Chao dissimilarity by over-water distance for seven Adelaide sites. Linear regression lines for each primer-rarefaction combination are shown. Mantel tests were significant at the p ≤ 0.02 level for each of the four dissimilarity by distance correlations (see text).