Figure 1
From: Enhanced non-Markovian behavior in quantum walks with Markovian disorder

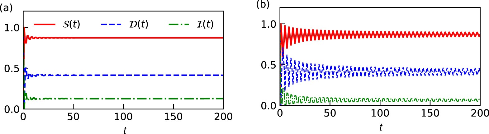
Plot of Entanglement S(t), trace distance D(t) and interference I(t) as a function of time for different initial states of the particle (a) \(|\psi (\frac{\pi }{4},0)\rangle \) is chosen as an initial state for both S(t) and I(t), for D(t), the initial pair of states are \(|\psi (\pm \frac{\pi }{4},0)\rangle \). (b) The initial state here is \(|\psi (\frac{\pi }{4},\frac{\pi }{2})\rangle \) for entanglement and interference, while \(|\psi (\pm \frac{\pi }{4},\frac{\pi }{2})\rangle \) is used for computing D(t). The coin parameter is set to \(\theta =\frac{\pi }{4}\) for both the plots. We observe the oscillatory nature of all the three curves, typical for non-Markovian evolutions. The trace distance between initial states are bounded between entanglement and interference.