Figure 2
From: Enhanced non-Markovian behavior in quantum walks with Markovian disorder

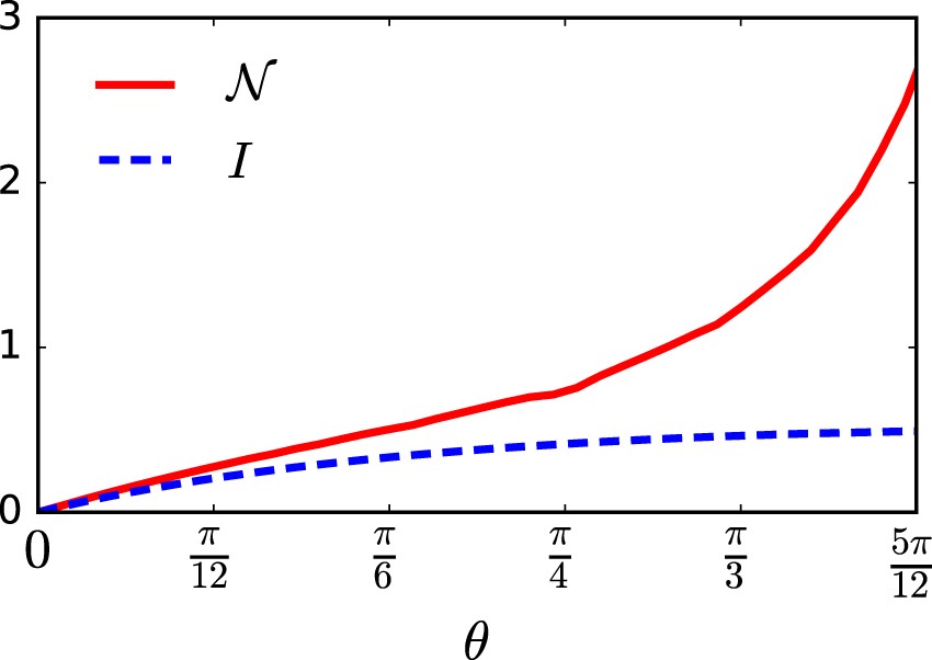
BLP measure and interference as a function of the coin parameter θ computed after 200 steps of quantum walk for the initial coin state \(|\psi (\frac{\pi }{4},0)\rangle \). Both non-Markovianity and interference increases monotonically with increase in θ sampled in the interval \([0,\frac{5\pi }{12}]\).