Figure 2
From: Printed 5-V organic operational amplifiers for various signal processing

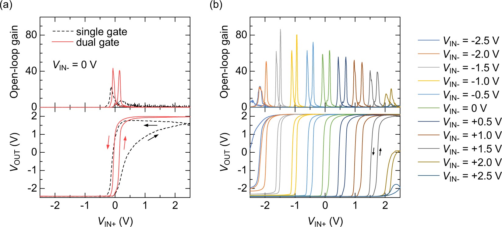
Open-loop DC characteristics of the organic OPAs. (a) Comparison of two types of organic OPAs with single-gate and dual-gate n-type OFETs. The geometry of p-type OFETs is single gate for both OPAs. (b) Organic OPA characteristics at various VIN− voltages.