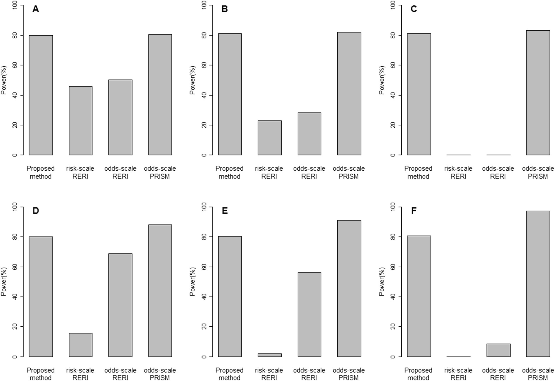
Figure 2
From: Testing for Sufficient-Cause Interactions in Case-Control Studies of Non-Rare Diseases

The powers under the alternative hypothesis, respectively, when the disease prevalence is 0.02 (upper panel) and when it is 0.2 (lower panel): 500 cases and 500 controls (A,D), 1000 cases and 1000 controls (B,E), and 5000 cases and 5000 controls (C,F).