Figure 4
From: TIMP2 is a Poor Prognostic Factor and Predicts Metastatic Biological Behavior in Gastric Cancer

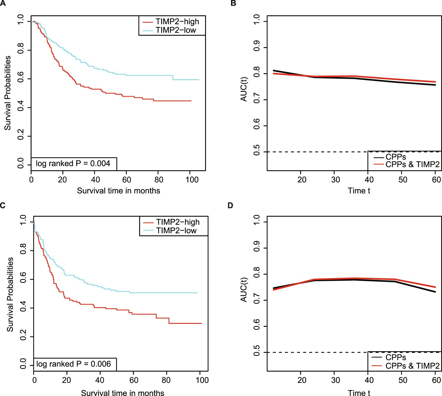
High TIMP2 predicts poorer survival of GC patients in GSE62254. (A) K-M analysis identified the prognosis significance of TIMP2 for OS of patients in GC. (B) TIMP2 combining with CPPs increases the prediction accuracy of traditional CPPs for OS. (C) TIMP2 expression predicts reduced RFS of patients as demonstrated by K-M analysis. (D) The addition of TIMP2 to CPPs slightly improves the prediction capacity of CPPs for RFS.