Figure 2
From: Adaptable, illumination patterning light sheet microscopy

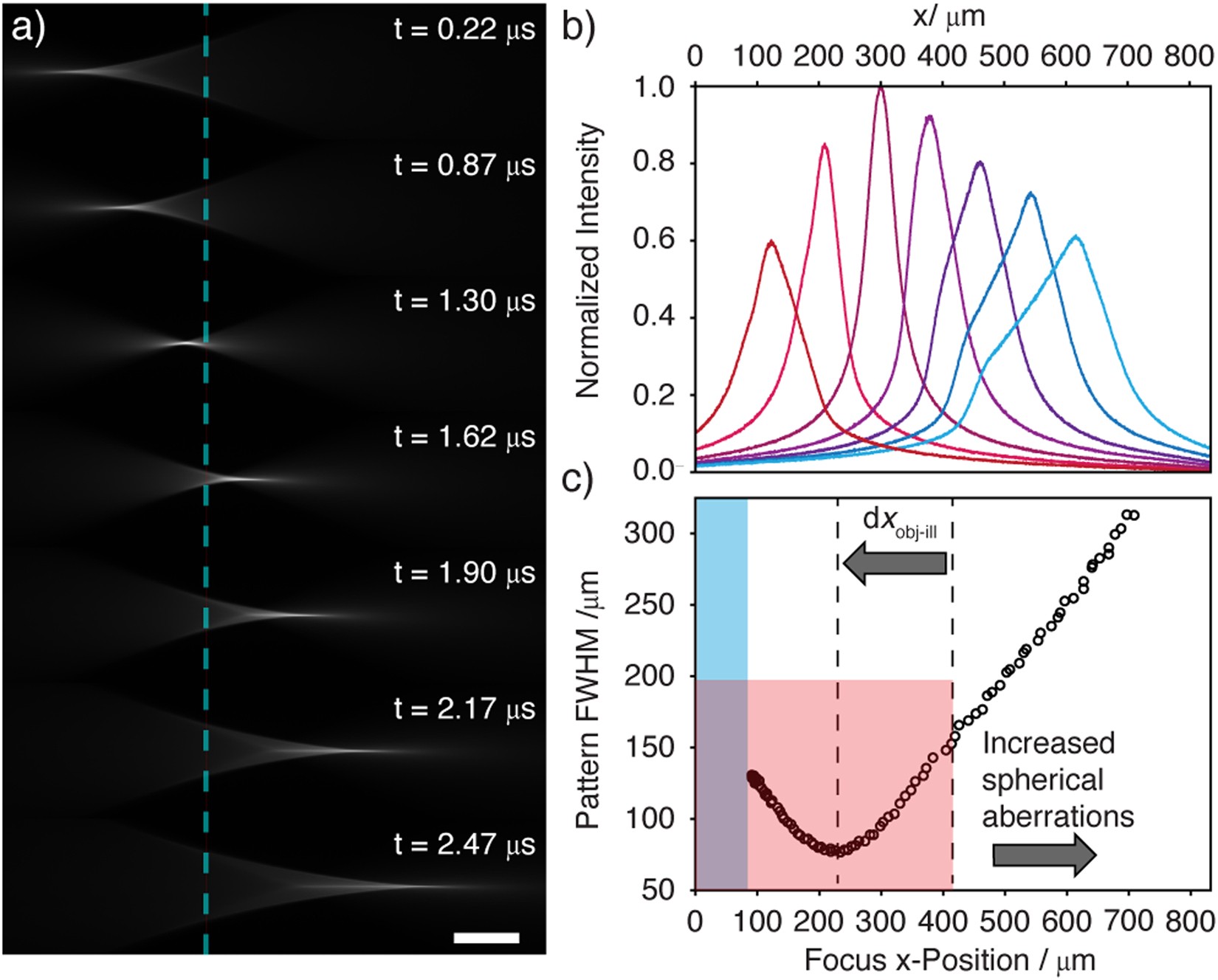
Characterization of the refocusing and propagation axis (x) patterning ability of the 2D swept/scanned mode. (a) Images of the beam (viewed in fluorescence) at various phases in the TAG lens cycle (61% TAG amplitude). The beam intensity is the most well-confined along x nearest to the native focus (i.e. with the TAG lens off), the position of which is shown by the blue dotted line. Scale bar: 100 μm. (b The beams shown in a) were scanned (y) and imaged with a confocal slit. The y-averaged on-axis profile of the illuminating light sheet is displayed, which defines the apparent patterning resolution in x. (c) The apparent pattern resolution as given by the intensity full-width at half maximum (FWHM) for different focal positions across the FOV (measured by the intensity maximum). Regions corresponding to the useful patterning range (red) and where the FWHM limit lies outside of the FOV (blue) are shown. The illumination objective was retracted by the distance shown from the center of the FOV.