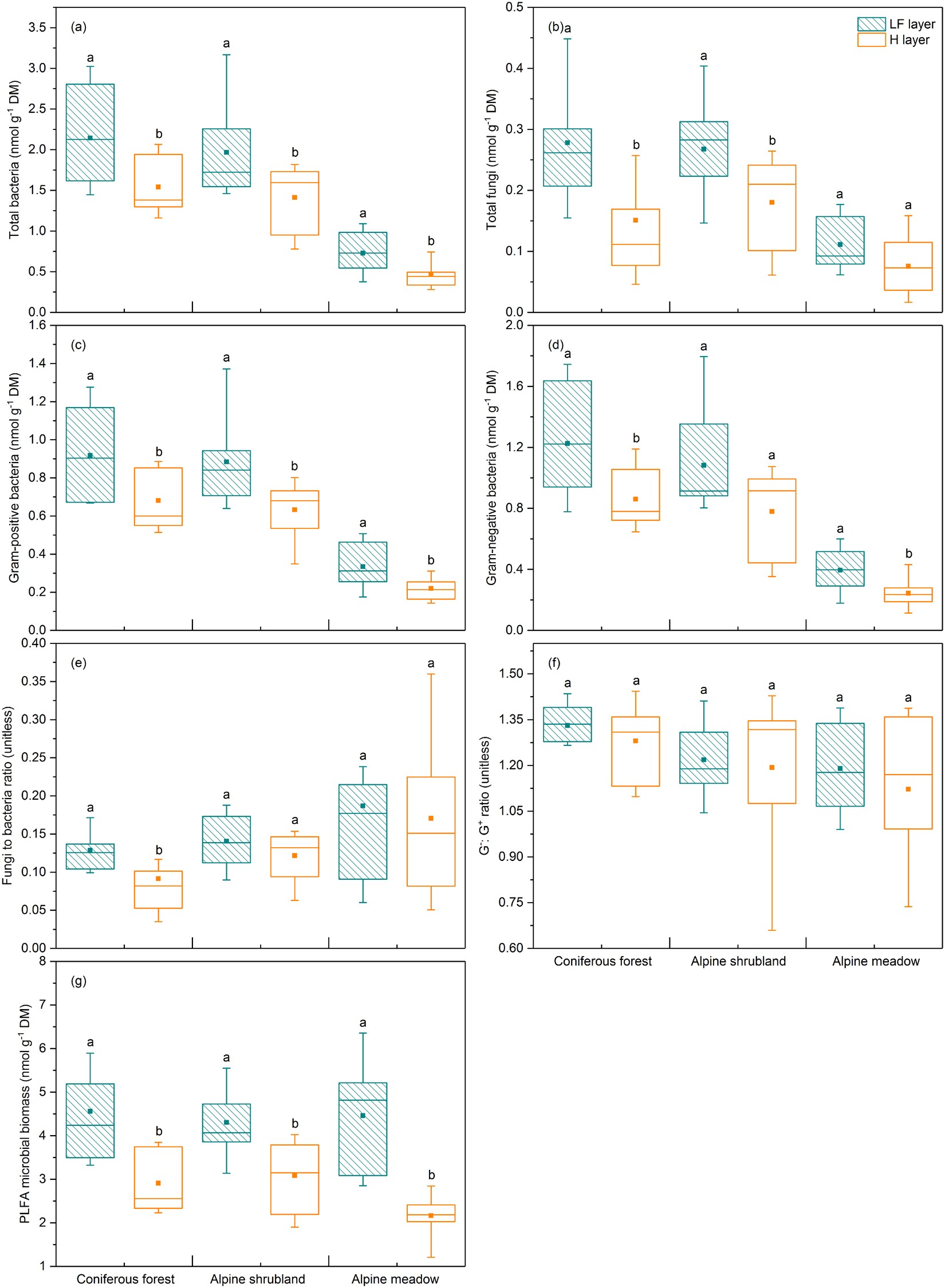
Figure 2

The concentrations of microbial PLFAs and ratios of biomarkers in the LF and H layers in coniferous forest, alpine shrubland and alpine meadow. The boxes represent the range of the first and third quartiles; the horizontal lines in the boxes represent the median; points within each boxplot represent the means; the upper and lower bounds of the bars reflect the 90th and 10th percentiles, respectively. Bars with different lowercase letters indicate significant differences (p < 0.05) between the LF and H layers within the same vegetation type as identified by the Mann-Whitney U test. G−:G+, ratio of gram-negative bacteria to gram-positive bacteria.