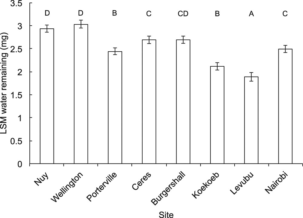
Figure 3

Least squares means (LSM) water remaining at death of adult Ceratitis capitata from different sites in sub-Saharan Africa that were acclimated at three temperatures and subjected to a desiccation resistance assay. LSM values were generated using a generalised linear model, with estimated total body water at its mean (4.69 mg) to account for water initially available. Error bars represent ±1 SE. Sites labeled with the same capital letter are not significantly different from each other (least significant difference tests: p > 0.05).