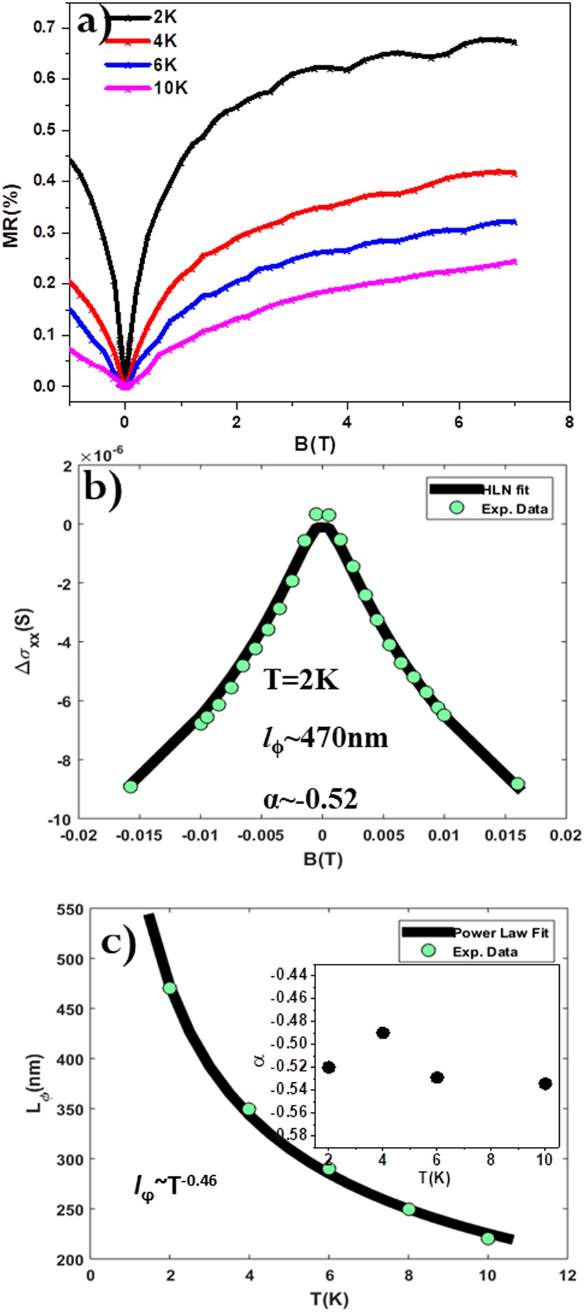
Figure 2

WAL behavior in DPB. (a) Normalized MR as a function of magnetic field H at a series of temperatures T = 2, 4, 6 and 10 K. Here MR = [ρ (H) − ρ (0)]/ρ (0)] × 100%, where ρ (H) and ρ (0) are the resistivities with and without the magnetic field H, respectively. (b) HLN fitting (solid black line) of 2 K data (cyan color dots) around low magnetic field region. The corresponding fitting parameters obtained are α ~ −0.52 and lϕ ~ 470 nm, which confirm the 2D nature of WAL. (c) Variation of lϕ with temperature (2 K ≤ T ≤ 10 K). The solid line (black) shows the power law variation of lϕ with temperature as lϕ ~ T−0.46, inset shows variation of prefactor α (from HLN theory) with temperature.