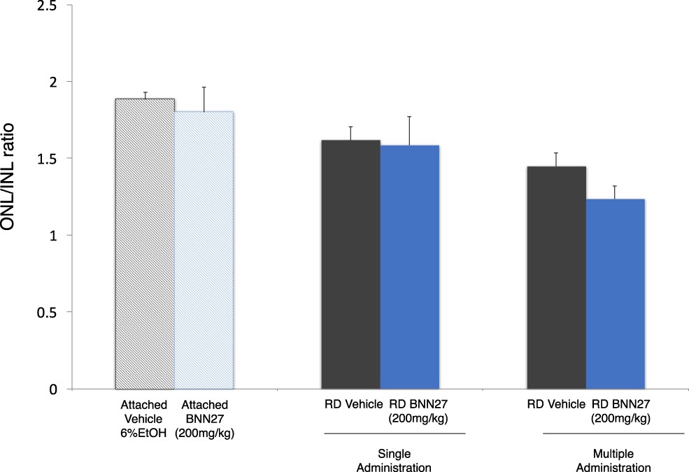
Figure 5

Effect of BNN27 on outer nuclear layer (ONL) thickness. Ratio of ONL/INL in the attached and the detached retina following RD. At day 7, single or multiple (daily administration, 7 injections total) doses of BNN27 were not able to protect the overall thickness of the ONL of the detached retina, n = 6–7. The graph shows mean ± SEM. RD, Retinal Detachment, ONL, Outer Nuclear Layer, INL, Inner Nuclear Layer.