Figure 3
From: Inhibition of the precursor and mature forms of HIV-1 protease as a tool for drug evaluation

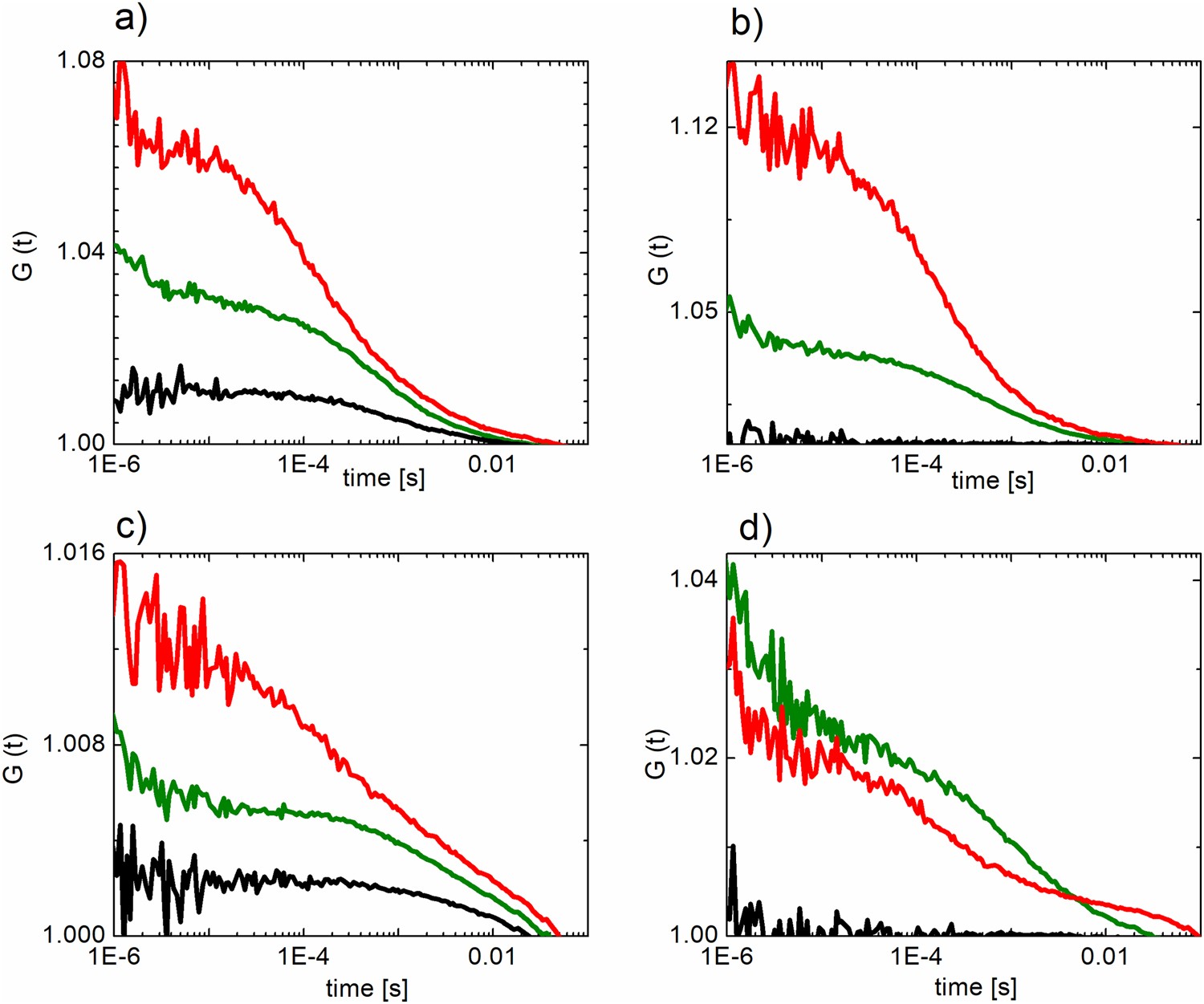
Fluorescence cross-correlation spectroscopy (FCCS) experiments were performed in HEK293T cells transiently transfected with: (a) pmCherry-EGFP fusion as a positive control, (b) pEGFP-N1 and pmCherry-C1 as a negative control, (c) mCherry-PRprec-EGFP reporter inhibited with 1μM darunavir, (d) mCherry-PRprec-EGFP (non-inhibited). Autocorrelation functions of the EGFP and mCherry fluorescent signal are shown in green and red, respectively. The crosscorrelation function is shown in black.