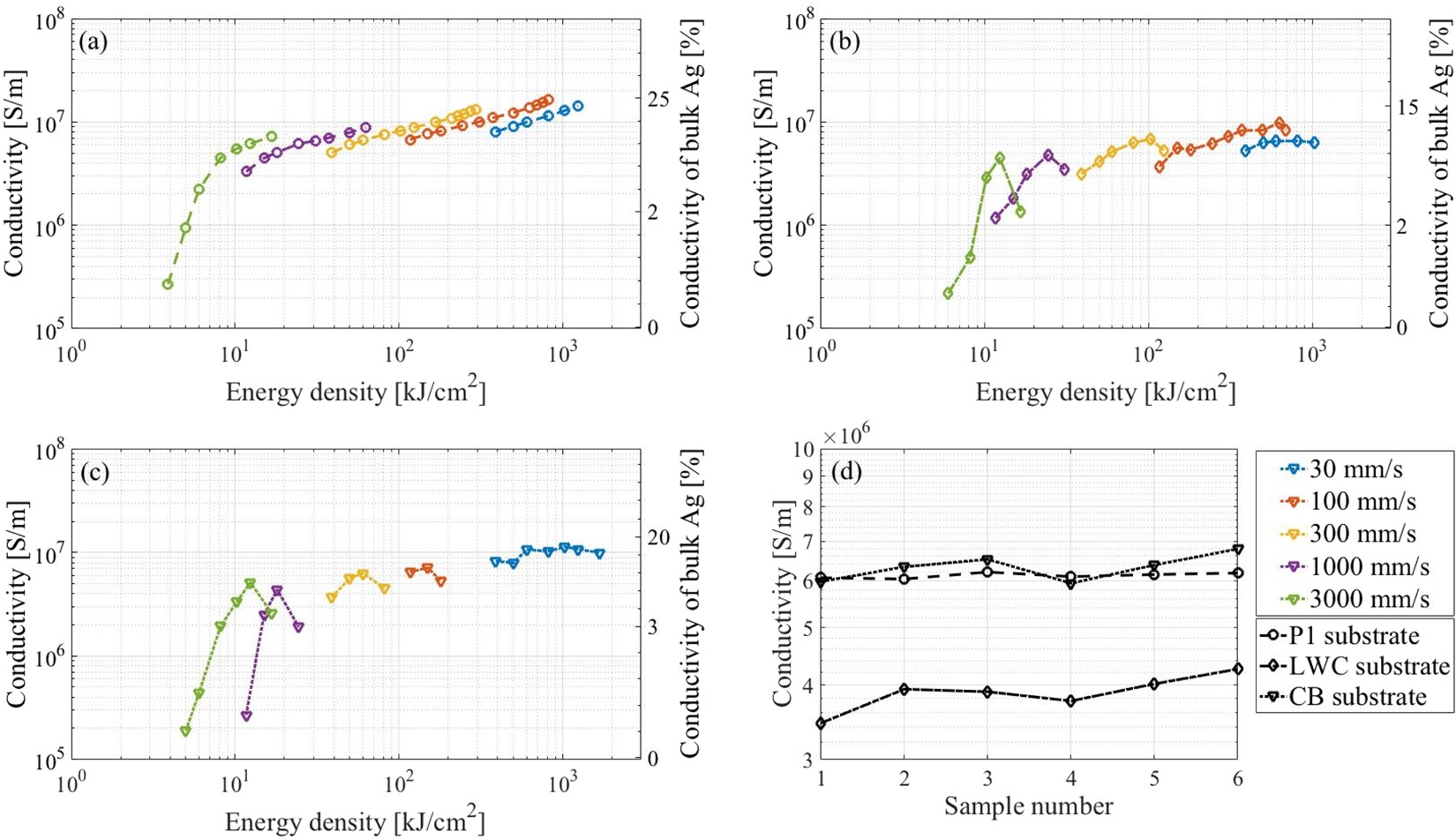
Figure 5

(a–c) Conductivity as a function of laser energy density for different laser scanning speeds. A decrease in speed results in an increase in energy density. For light weight coated (LWC) paper and cardboard (CB) substrate: The decrease on conductivity in the case of 30, 100 and 300 mm/s was because of the burning of the substrate. In the case of 1000 and 3000 mm/s, the decrease of conductivity was because of the delamination of the Ag films from the paper substrate. (d) Conductivity values of 6 samples for each substrate, which were laser processed at a scanning speed of 100 mm/s and an energy density of 244 kJ/cm2.