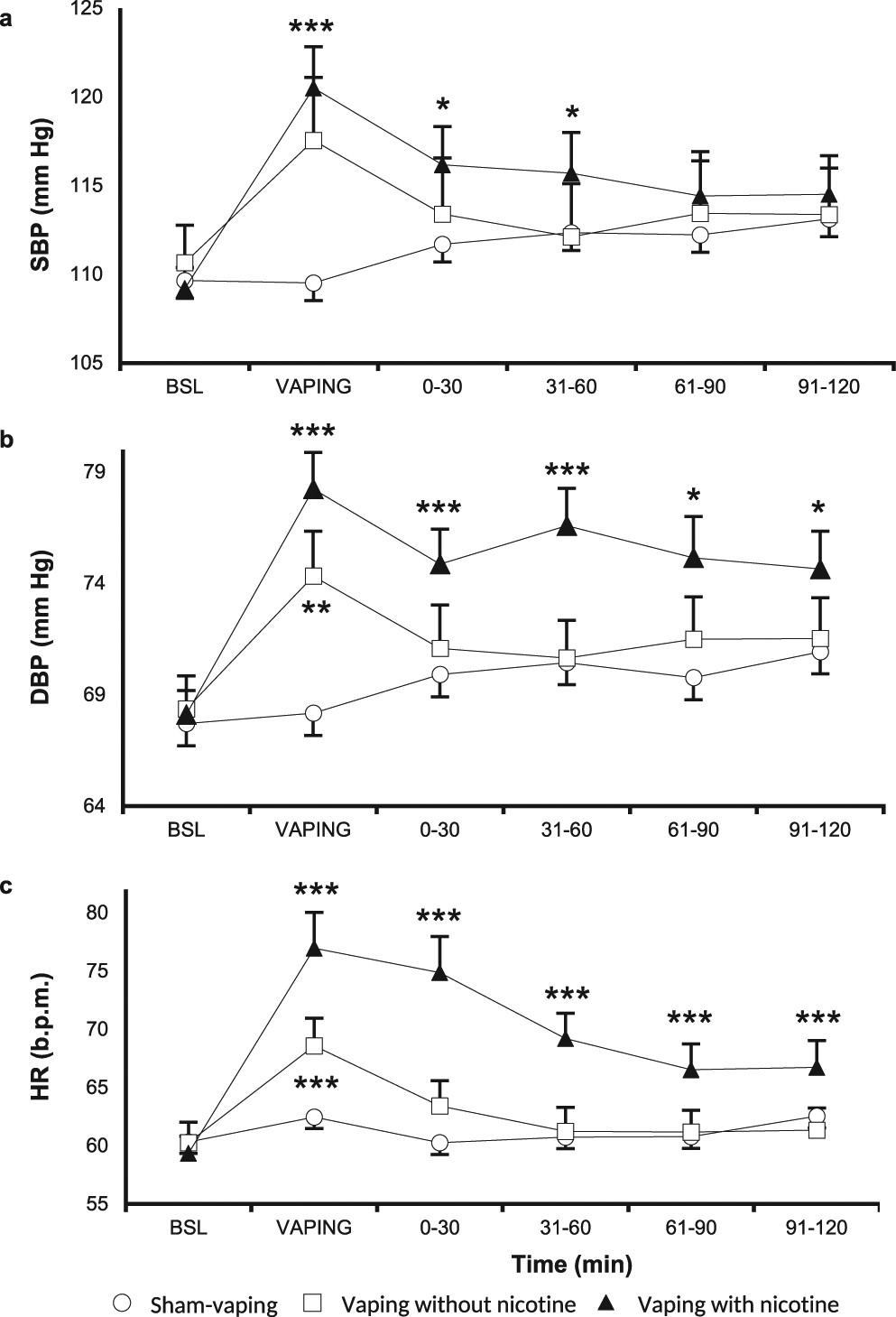
Figure 2

Hemodynamic parameters. Changes in (a) systolic blood pressure (SBP), (b) diastolic blood pressure (DBP) and (C) heart rate (HR) over time in the sham-vaping (open circle), nicotine free vaping (open square) and nicotine vaping (closed triangle) sessions. Nicotine vaping, compared to baseline (BSL), was associated with an increase in systolic and diastolic blood pressure as well as heart rate for 60 minutes, 120 minutes and 120 minutes post-exposure, respectively. In comparison to BSL, vaping without nicotine increased diastolic blood pressure and heart rate during the limited period of exposure. p-value for the time*session interaction effects for systolic and diastolic blood pressure as well as for heart rate were <0.001, <0.0001 and <0.0001, respectively. p-value for comparisons vs. BSL: *p < 0.05, **p < 0.01, ***p < 0.001. Data are the mean ± SEM.