Figure 1
From: Soluble Triggering Receptor Expressed on Myeloid Cells 1 in lung cancer

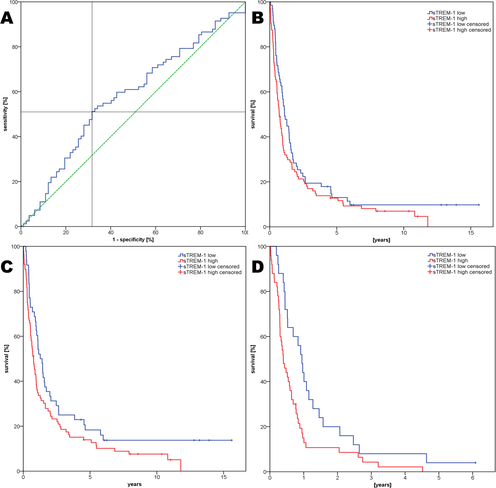
(A) ROC-Analysis of sTREM-1 for predicting short survival (the crossing lines mark the highest Youden index at 163.1 pg/ml) (B) Kaplan Meier Analysis all patients (n = 164) (C) Kaplan Meier Analysis in NSCLC patients (n = 137) (D) Kaplan Meier Analysis in stage IV NSCLC patients (n = 75).