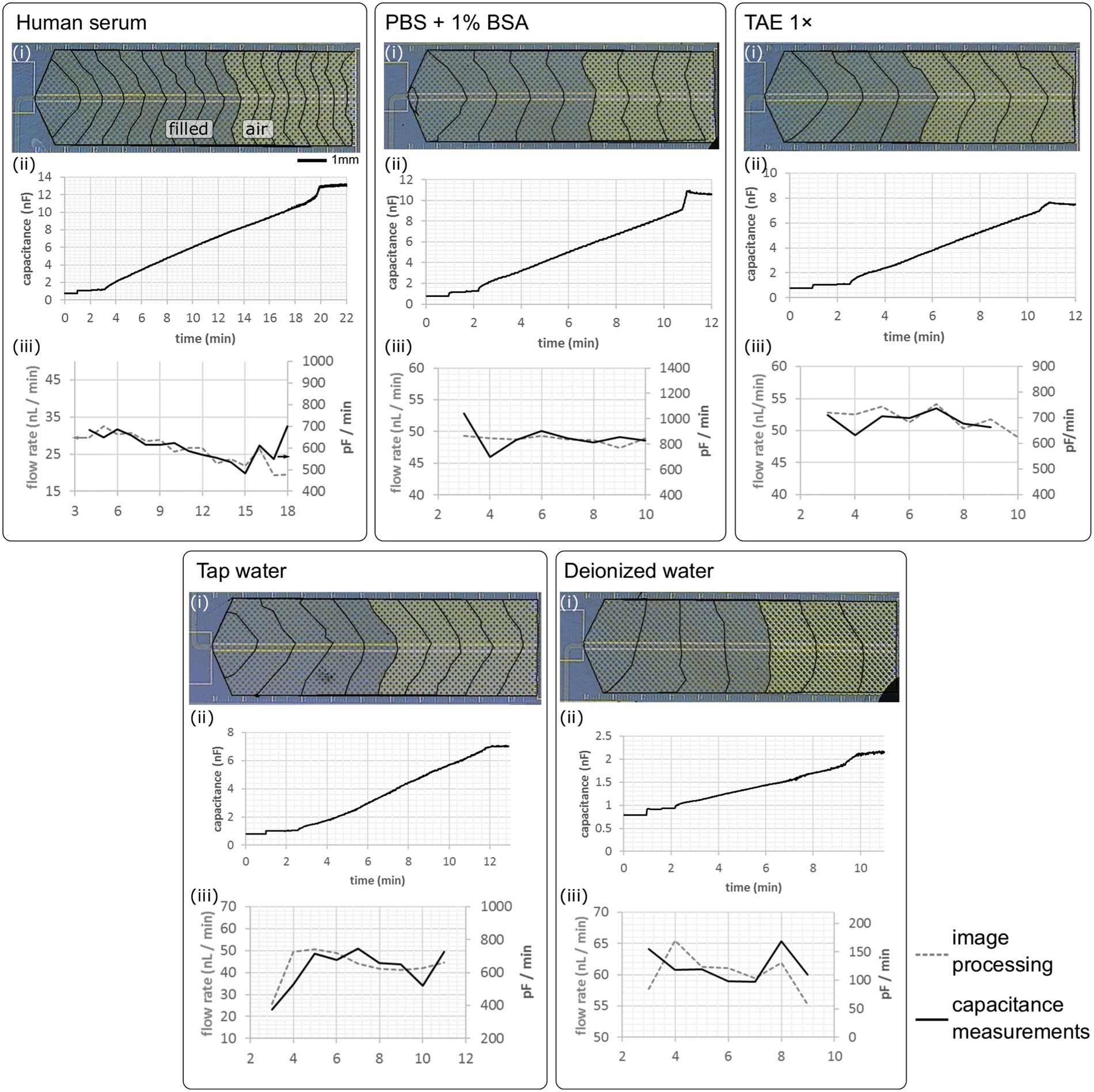
Figure 4

Flow monitoring for various aqueous-based solutions. For each liquid, three experimental results are provided: (i) microscope image of the capillary pump showing the position of the liquid front traced every minute, (ii) the plot showing the capacitance value measured continuously using the portable device, and (iii) the flow rate information calculated using both image processing (dashed line) and capacitance measurements (straight line). For each experiment, measured capacitance increases cumulatively when the chip is inserted, the liquid is pipetted (electrodes in the loading pad), and it advances in the capillary pump. Finally, the capacitance reaches to a plateau after a sharper change in the capacitance owing to additional electrodes placed at the end of the pump.