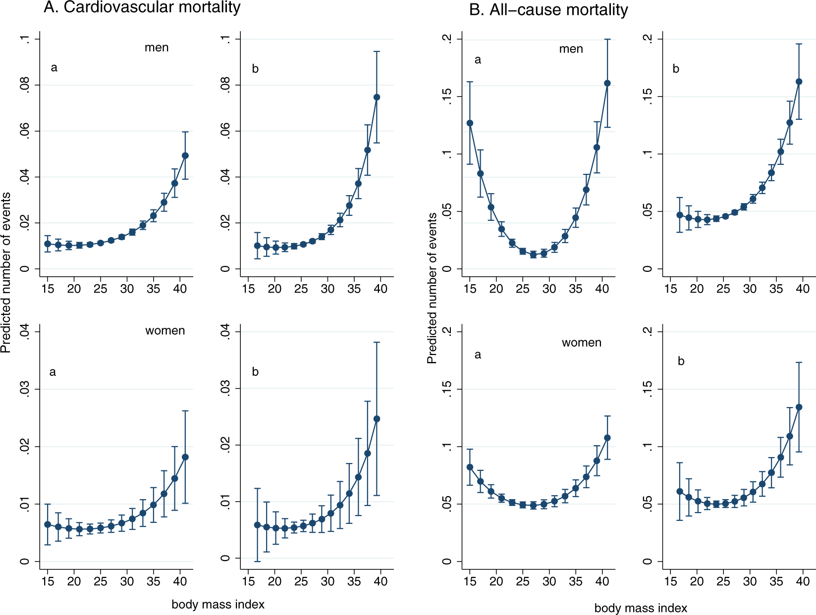
Figure 2

(A) Predictive margins for cardiovascular mortality by (a) body mass index (BMI) in midlife and (b) BMI in midlife instrumented by BMI in early adulthood, among men and women. Adjusted for education. (B) Predictive margins for all-cause mortality by (a) body mass index (BMI) in midlife and (b) BMI in midlife instrumented by BMI in early adulthood, among men and women. Adjusted for education.